Официальное опубликование правовых актов
ОФИЦИАЛЬНОЕ ОПУБЛИКОВАНИЕ
Приказ Департамента природных ресурсов и экологии Ямало-Ненецкого автономного округа от 27.10.2025 № 1803
"О внесении изменений в некоторые нормативные правовые акты Ямало-Ненецкого автономного округа"
(Зарегистрирован 29.10.2025 № 351)
Номер опубликования: 8901202510300001
Дата опубликования: 30.10.2025
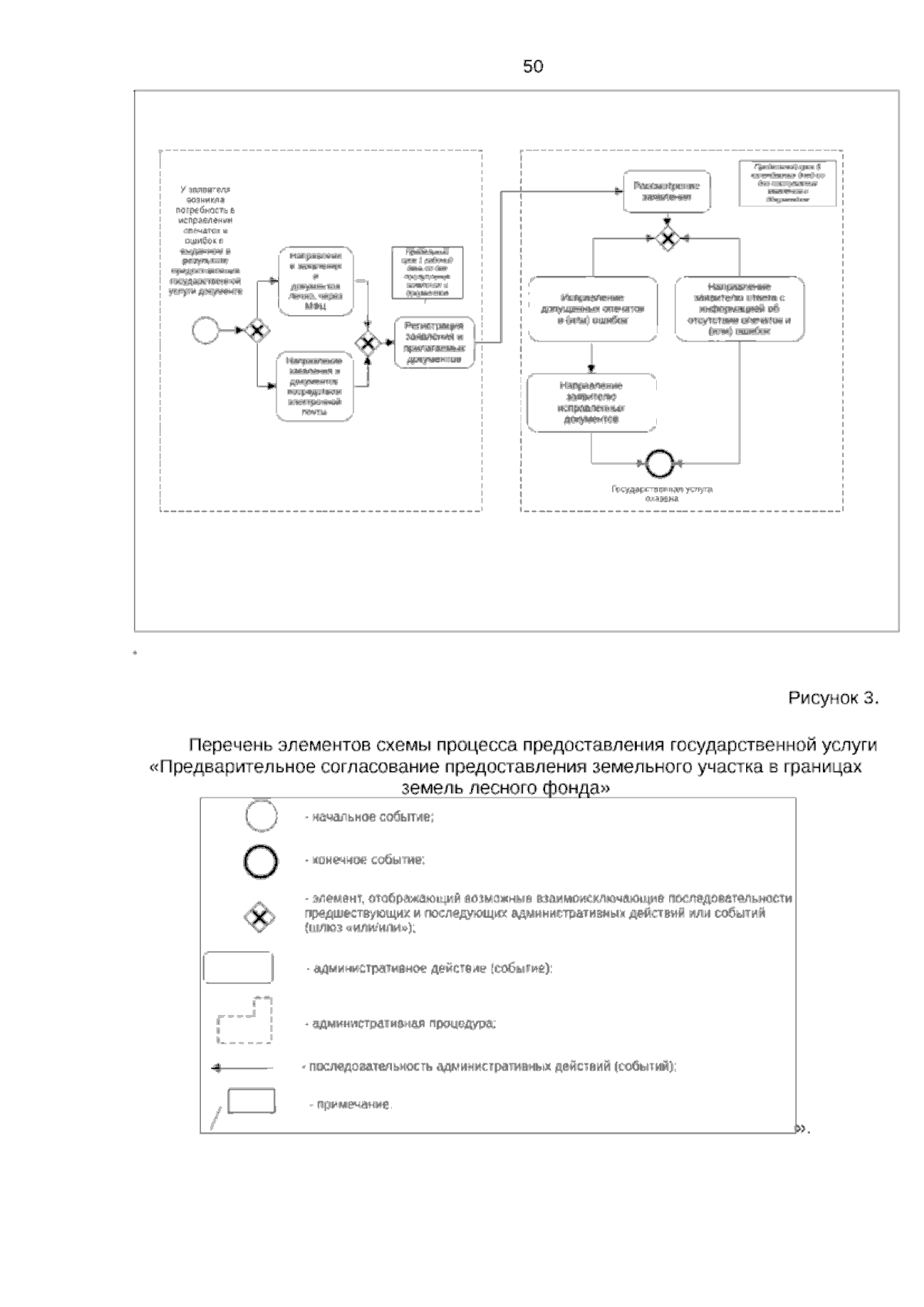
Страница №50 из 159:
Увеличить