Официальное опубликование правовых актов
ОФИЦИАЛЬНОЕ ОПУБЛИКОВАНИЕ
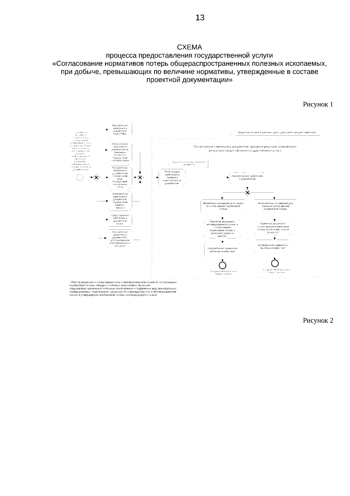
Приказ Департамента природных ресурсов и экологии Ямало-Ненецкого автономного округа от 16.03.2026 № 208
"О внесении изменений в некоторые приказы департамента природных ресурсов и экологии Ямало-Ненецкого автономного округа"
(Зарегистрирован 17.03.2026 № 81)
Номер опубликования: 8901202603170001
Дата опубликования: 17.03.2026
Страница №13 из 34:
Увеличить