Официальное опубликование правовых актов
ОФИЦИАЛЬНОЕ ОПУБЛИКОВАНИЕ
Приказ Департамента тарифной политики, энергетики и жилищно-коммунального комплекса Ямало-Ненецкого автономного округа от 13.04.2026 № 36-од
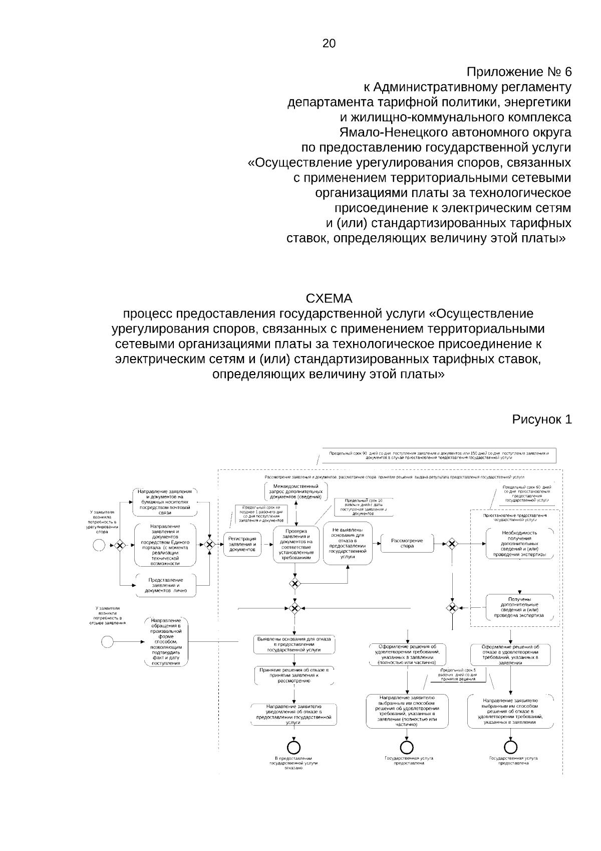
"О внесении изменения в Административный регламент департамента тарифной политики, энергетики и жилищно-коммунального комплекса Ямало-Ненецкого автономного округа по предоставлению государственной услуги "Осуществление урегулирования споров, связанных с применением территориальными сетевыми организациями платы за технологическое присоединение к электрическим сетям и (или) стандартизированных тарифных ставок, определяющих величину этой платы"
(Зарегистрирован 16.04.2026 № 120)
Номер опубликования: 8901202604170005
Дата опубликования: 17.04.2026
Страница №22 из 23:
Увеличить