Постановление Совета министров Республики Крым от 30.11.2015 № 753
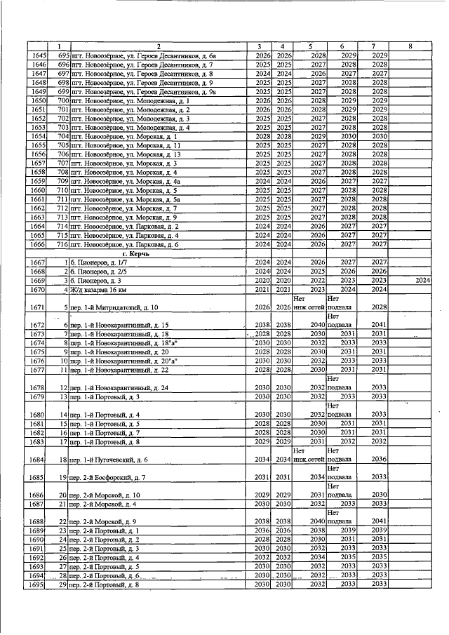
"Об утверждении Региональной программы капитального ремонта общего имущества в многоквартирных домах на территории Республики Крым на 2016-2045 годы"
"Об утверждении Региональной программы капитального ремонта общего имущества в многоквартирных домах на территории Республики Крым на 2016-2045 годы"
Номер опубликования: 9100201512030001
Дата опубликования:
03.12.2015
