Официальное опубликование правовых актов
ОФИЦИАЛЬНОЕ ОПУБЛИКОВАНИЕ
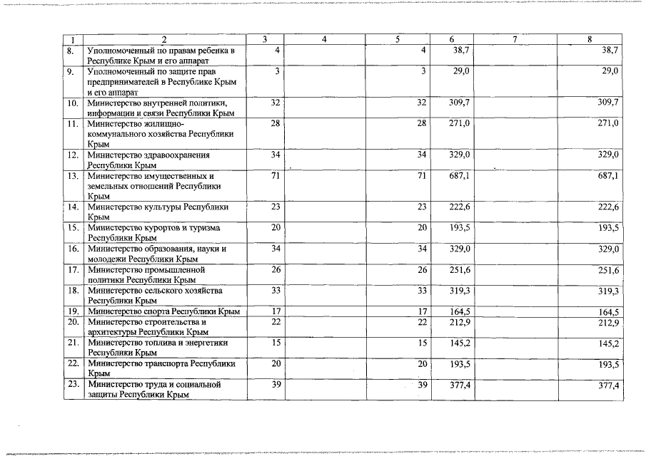
Постановление Совета министров Республики Крым от 02.02.2016 № 27
"Об утверждении государственного заказа на дополнительное профессиональное образование государственных гражданских служащих Республики Крым на 2016 год"
Номер опубликования: 9100201602040006
Дата опубликования: 04.02.2016
Страница №3 из 5:
Увеличить