Официальное опубликование правовых актов
ОФИЦИАЛЬНОЕ ОПУБЛИКОВАНИЕ
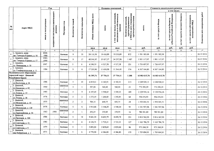
Постановление Совета министров Республики Крым от 20.02.2016 № 73
"О внесении изменений в постановление Совета министров Республики Крым от 24 июля 2015 года № 434"
Номер опубликования: 9100201602240012
Дата опубликования: 24.02.2016
Страница №4 из 57:
Увеличить