Официальное опубликование правовых актов
ОФИЦИАЛЬНОЕ ОПУБЛИКОВАНИЕ
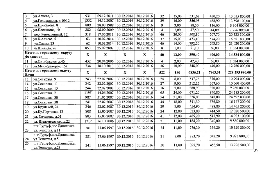
Постановление Совета министров Республики Крым от 16.11.2016 № 556
"О внесении изменений в постановление Совета министров Республики Крым от 9 сентября 2014 года № 320"
Номер опубликования: 9100201611240004
Дата опубликования: 24.11.2016
Страница №6 из 18:
Увеличить