Официальное опубликование правовых актов
ОФИЦИАЛЬНОЕ ОПУБЛИКОВАНИЕ
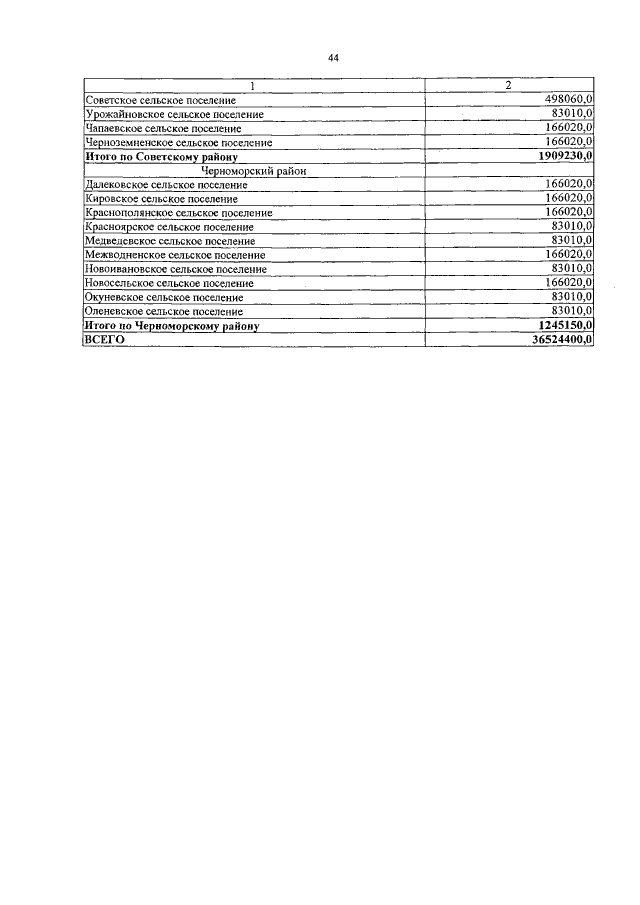
Закон Республики Крым от 05.12.2016 № 321-ЗРК/2016
"О внесении изменений в Закон Республики Крым "О бюджете Республики Крым на 2016 год"
Номер опубликования: 9100201612090008
Дата опубликования: 09.12.2016
Страница №372 из 378:
Увеличить