Официальное опубликование правовых актов
ОФИЦИАЛЬНОЕ ОПУБЛИКОВАНИЕ
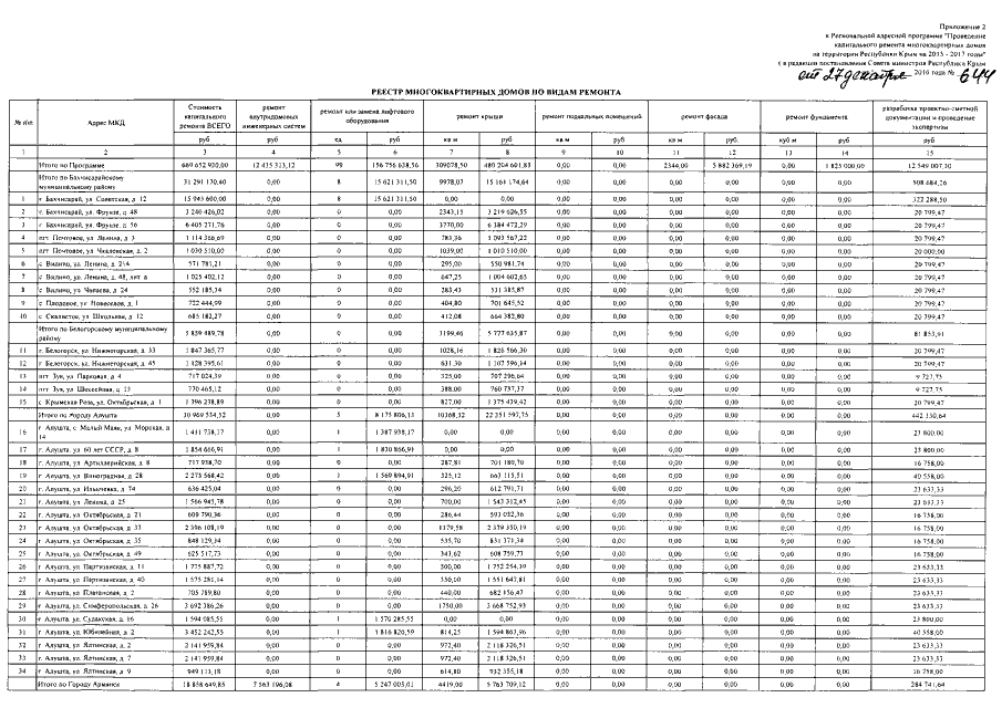
Постановление Совета министров Республики Крым от 27.12.2016 № 644
"О внесении изменения в постановление Совета министров Республики Крым от 24 июля 2015 года № 434"
Номер опубликования: 9100201701030036
Дата опубликования: 03.01.2017
Страница №14 из 25:
Увеличить