Официальное опубликование правовых актов
ОФИЦИАЛЬНОЕ ОПУБЛИКОВАНИЕ
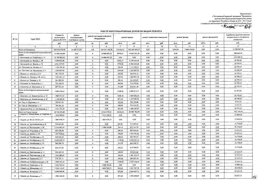
Постановление Совета министров Республики Крым от 30.03.2017 № 167
"О внесении изменений в постановление Совета министров Республики Крым от 24 июля 2015 года № 434"
Номер опубликования: 9100201704040009
Дата опубликования: 04.04.2017
Страница №16 из 31:
Увеличить