Официальное опубликование правовых актов
ОФИЦИАЛЬНОЕ ОПУБЛИКОВАНИЕ
Постановление Совета министров Республики Крым от 25.07.2017 № 371
"Об утверждении Положения о системе управления проектной деятельностью в исполнительных органах государственной власти Республики Крым и органах местного самоуправления муниципальных образований в Республике Крым"
Номер опубликования: 9100201708010011
Дата опубликования: 01.08.2017
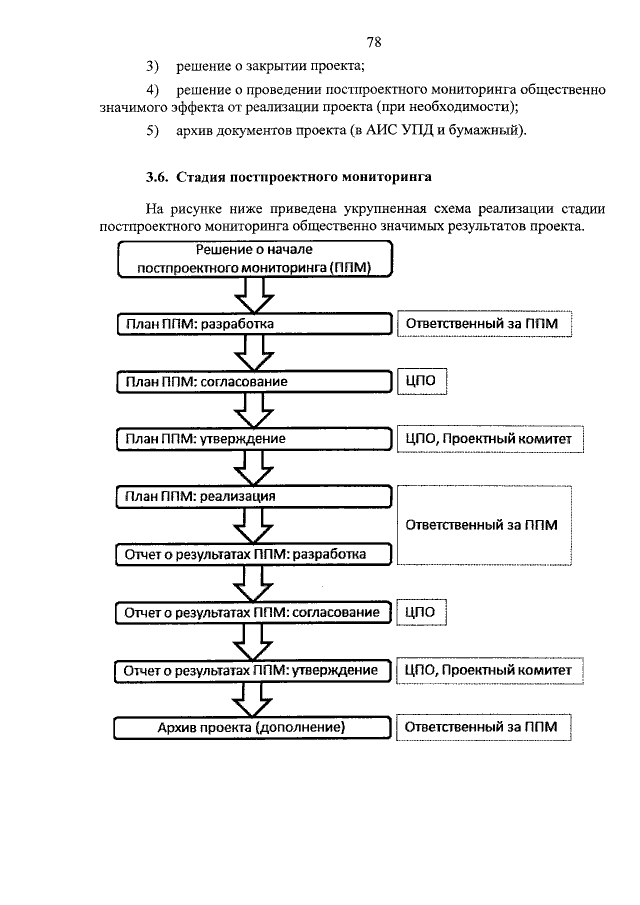
Страница №80 из 91:
Увеличить