Официальное опубликование правовых актов
ОФИЦИАЛЬНОЕ ОПУБЛИКОВАНИЕ
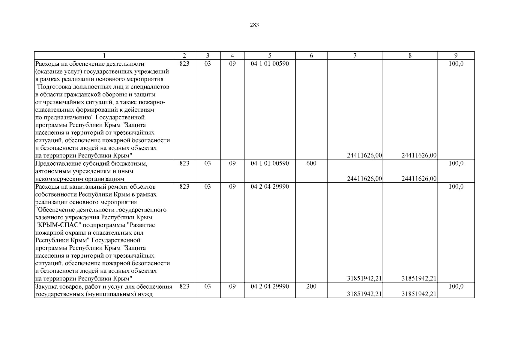
Закон Республики Крым от 25.06.2024 № 555-ЗРК/2024
"Об исполнении бюджета Республики Крым за 2023 год"
Номер опубликования: 9100202406250008
Дата опубликования: 25.06.2024
Страница №283 из 382:
Увеличить