Официальное опубликование правовых актов
ОФИЦИАЛЬНОЕ ОПУБЛИКОВАНИЕ
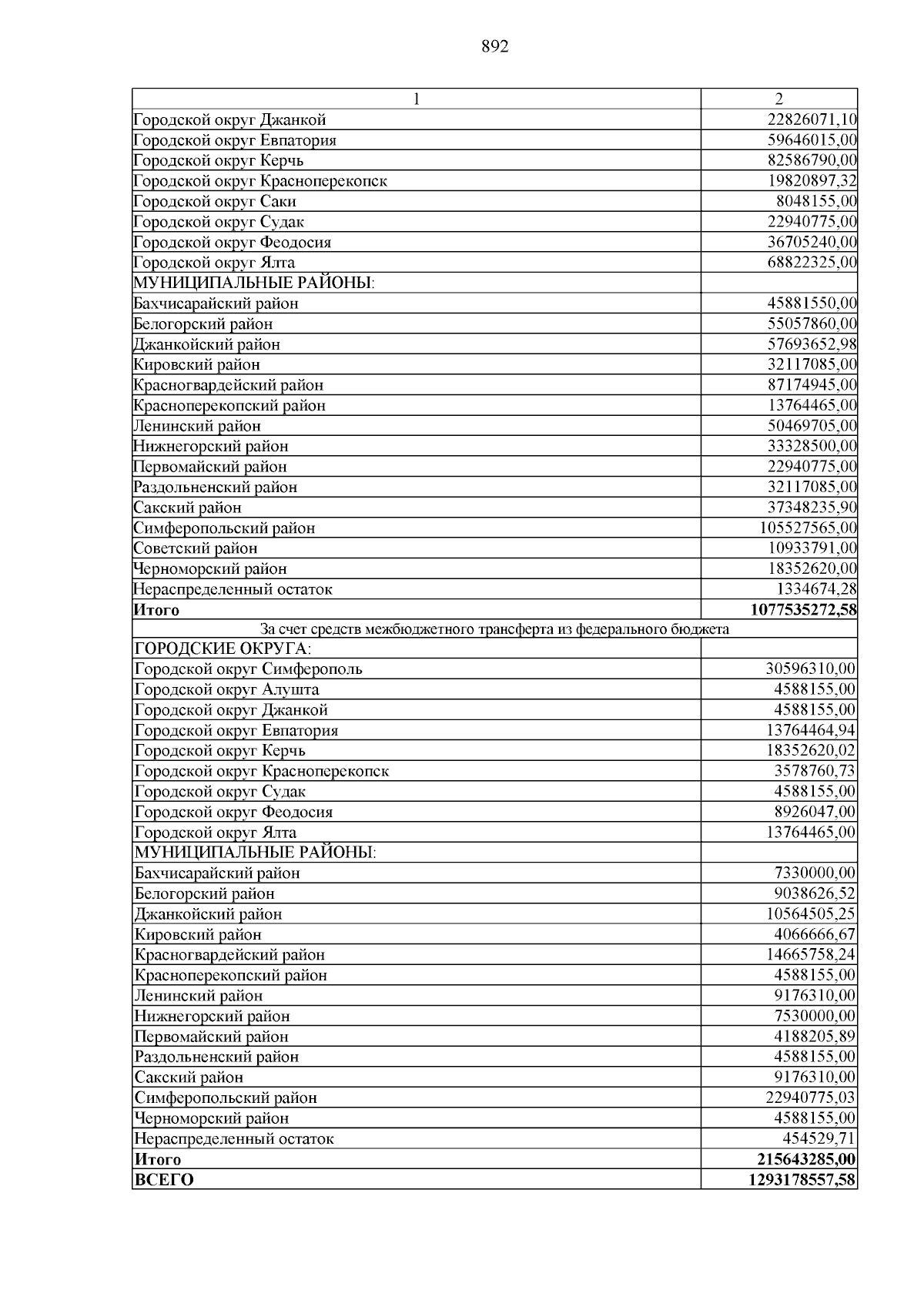
Закон Республики Крым от 11.08.2025 № 83-ЗРК/2025
"О внесении изменений в Закон Республики Крым "О бюджете Республики Крым на 2025 год и на плановый период 2026 и 2027 годов"
Номер опубликования: 9100202508120004
Дата опубликования: 12.08.2025
Страница №892 из 933:
Увеличить