Официальное опубликование правовых актов
ОФИЦИАЛЬНОЕ ОПУБЛИКОВАНИЕ
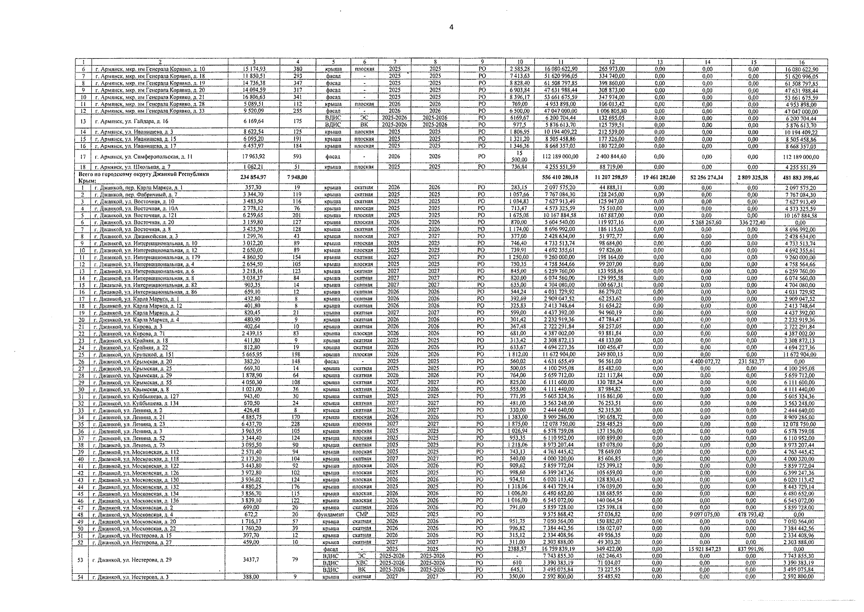
Постановление Совета министров Республики Крым от 24.02.2026 № 106
"О внесении изменений в постановление Совета министров Республики Крым от 28 июня 2024 года № 343"
Номер опубликования: 9100202602250006
Дата опубликования: 25.02.2026
Страница №4 из 51:
Увеличить