Официальное опубликование правовых актов
ОФИЦИАЛЬНОЕ ОПУБЛИКОВАНИЕ
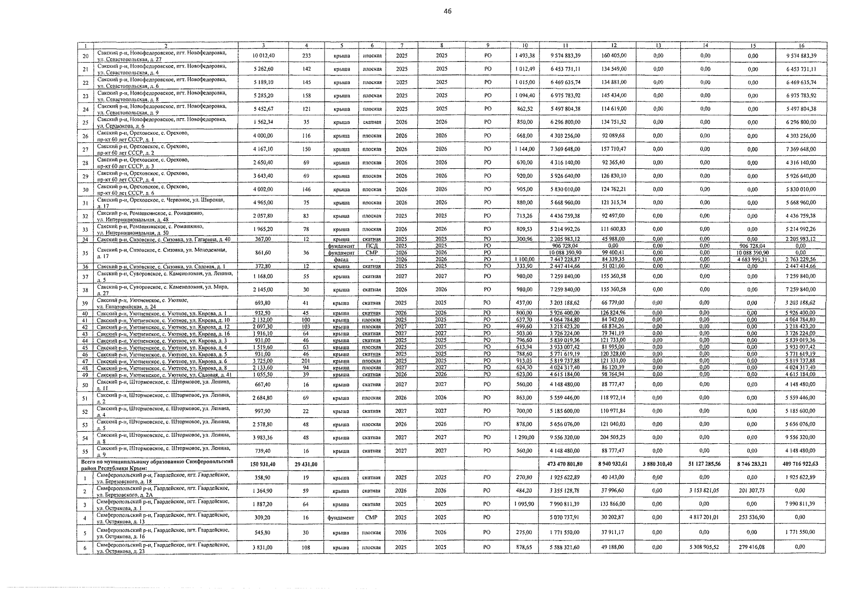
Постановление Совета министров Республики Крым от 15.04.2026 № 208
"О внесении изменений в постановление Совета министров Республики Крым от 28 июня 2024 года № 343"
Номер опубликования: 9100202604160005
Дата опубликования: 16.04.2026
Страница №46 из 52:
Увеличить