Официальное опубликование правовых актов
ОФИЦИАЛЬНОЕ ОПУБЛИКОВАНИЕ
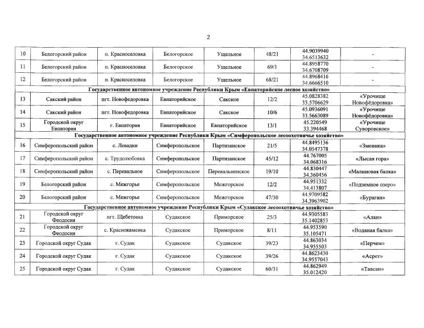
Приказ Министерства экологии и природных ресурсов Республики Крым от 12.08.2021 № 1125
"Об ограничении пребывания граждан в лесах, въезда в них транспортных средств и проведения в лесах определенных видов работ в целях обеспечения пожарной безопасности"
Номер опубликования: 9101202108160005
Дата опубликования: 16.08.2021
Страница №9 из 9:
Увеличить