Официальное опубликование правовых актов
ОФИЦИАЛЬНОЕ ОПУБЛИКОВАНИЕ
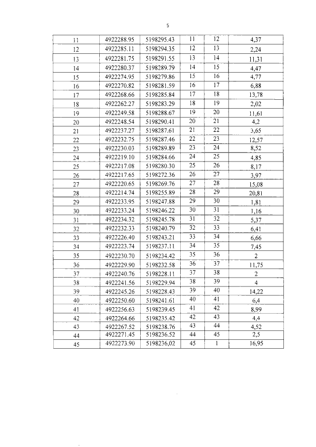
Приказ Министерства культуры Республики Крым от 11.10.2021 № 479-окн
"Об утверждении границ территории и режимов использования земель в границах территории объекта культурного наследия регионального значения "Особняк графа М.М. Устинова, начало XX века", расположенного по адресу: Республика Крым, городской округ Ялта, пгт Восход, ул. Авроры, 111,"
Номер опубликования: 9101202110120003
Дата опубликования: 12.10.2021
Страница №5 из 7:
Увеличить