Официальное опубликование правовых актов
ОФИЦИАЛЬНОЕ ОПУБЛИКОВАНИЕ
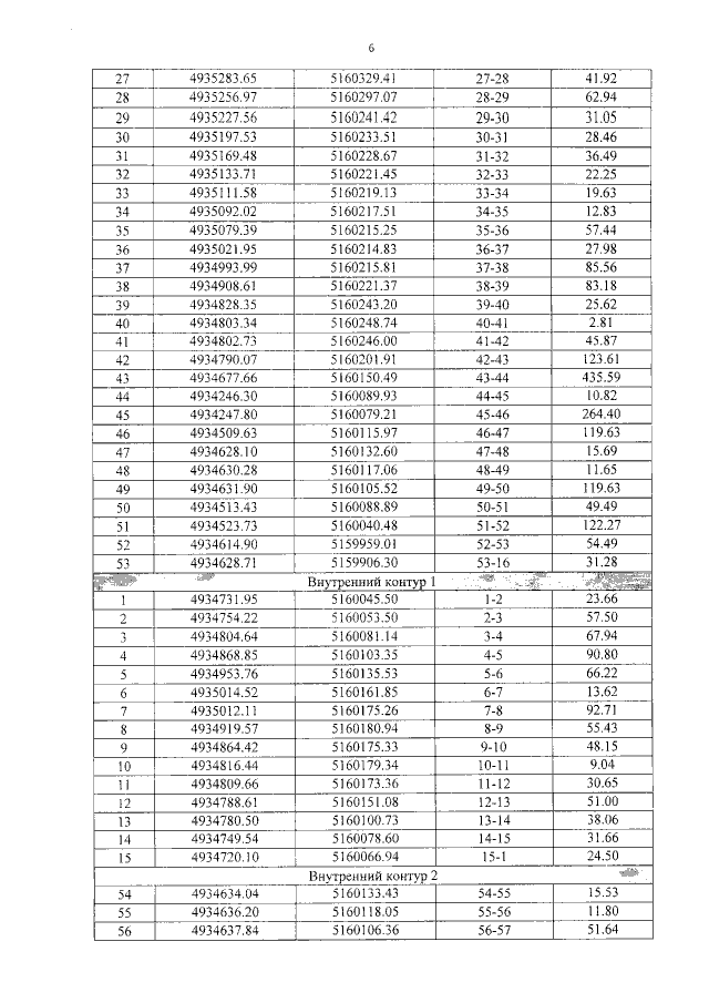
Приказ Министерства культуры Республики Крым от 21.12.2021 № 598-окн
"Об утверждении границ зон охраны, режимов использования земель и требований к градостроительным регламентам в границах зон охраны объекта культурного наследия федерального значения "Башня "Кыз-Куле", после X века", расположенного по адресу: Республика Крым, Бахчисарайский район, сельское поселение Красномакское, с. Красный Мак"
Номер опубликования: 9101202112230026
Дата опубликования: 23.12.2021
Страница №6 из 18:
Увеличить