Официальное опубликование правовых актов
ОФИЦИАЛЬНОЕ ОПУБЛИКОВАНИЕ
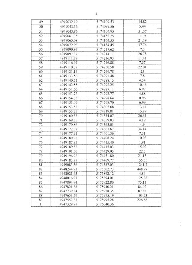
Приказ Министерства культуры Республики Крым от 16.03.2022 № 98-окн
"Об утверждении границ территории, режимов использования земель в границах территории объекта культурного наследия федерального значения "Крепость и пещерный город "Чуфут-Кале", V - XV века" (ансамбль), расположенного по адресу: Республика Крым, г. Бахчисарай, ул. Басенко, д. 57"
Номер опубликования: 9101202203210007
Дата опубликования: 21.03.2022
Страница №6 из 9:
Увеличить