Официальное опубликование правовых актов
ОФИЦИАЛЬНОЕ ОПУБЛИКОВАНИЕ
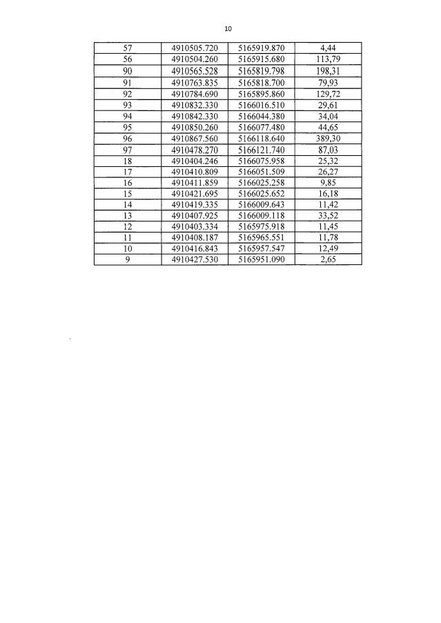
Приказ Министерства культуры Республики Крым от 30.06.2022 № 379-окн
"Об утверждении границ зон охраны, режимов использования земель и требований к градостроительным регламентам в границах зон охраны объекта культурного наследия федерального значения "Могила философа, ученого - естествоиспытателя Н.Я. Данилевского, 1885 год",расположенного по адресу: Республика Крым, городскойокруг Ялта, пгт Санаторное, ул. Южная, 1"
Номер опубликования: 9101202207050003
Дата опубликования: 05.07.2022
Страница №10 из 16:
Увеличить