Официальное опубликование правовых актов
ОФИЦИАЛЬНОЕ ОПУБЛИКОВАНИЕ
Приказ Министерства труда и социальной защиты Республики Крым от 10.08.2022 № 403
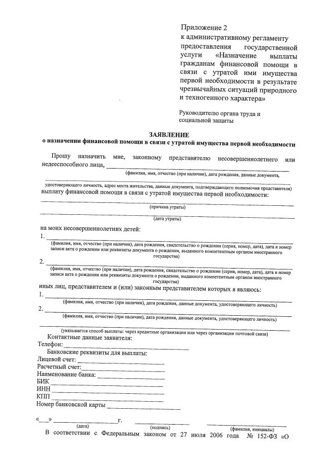
"Об утверждении административного регламента предоставления государственной услуги по назначению выплаты гражданам финансовой помощи в связи с утратой ими имущества первой необходимости в результате чрезвычайных ситуаций природного и техногенного характера"
Номер опубликования: 9101202208170002
Дата опубликования: 17.08.2022
Страница №43 из 46:
Увеличить