Официальное опубликование правовых актов
ОФИЦИАЛЬНОЕ ОПУБЛИКОВАНИЕ
Приказ Министерства здравоохранения Республики Крым от 27.05.2024 № 837
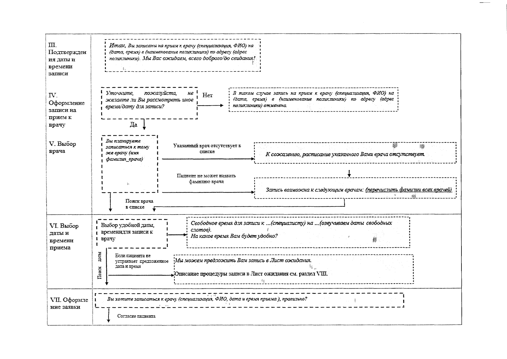
"Об организации записи на прием к врачу в медицинских организациях, подведомственных Министерству здравоохранения Республики Крым, оказывающих первичную медико-санитарную помощь, в том числе специализированную медицинскую помощь"
(Зарегистрирован 03.06.2024 № 1459)
Номер опубликования: 9101202406070015
Дата опубликования: 07.06.2024
Страница №46 из 79:
Увеличить