Официальное опубликование правовых актов
ОФИЦИАЛЬНОЕ ОПУБЛИКОВАНИЕ
Приказ Министерства культуры Республики Крым от 26.07.2024 № 353-ОКН
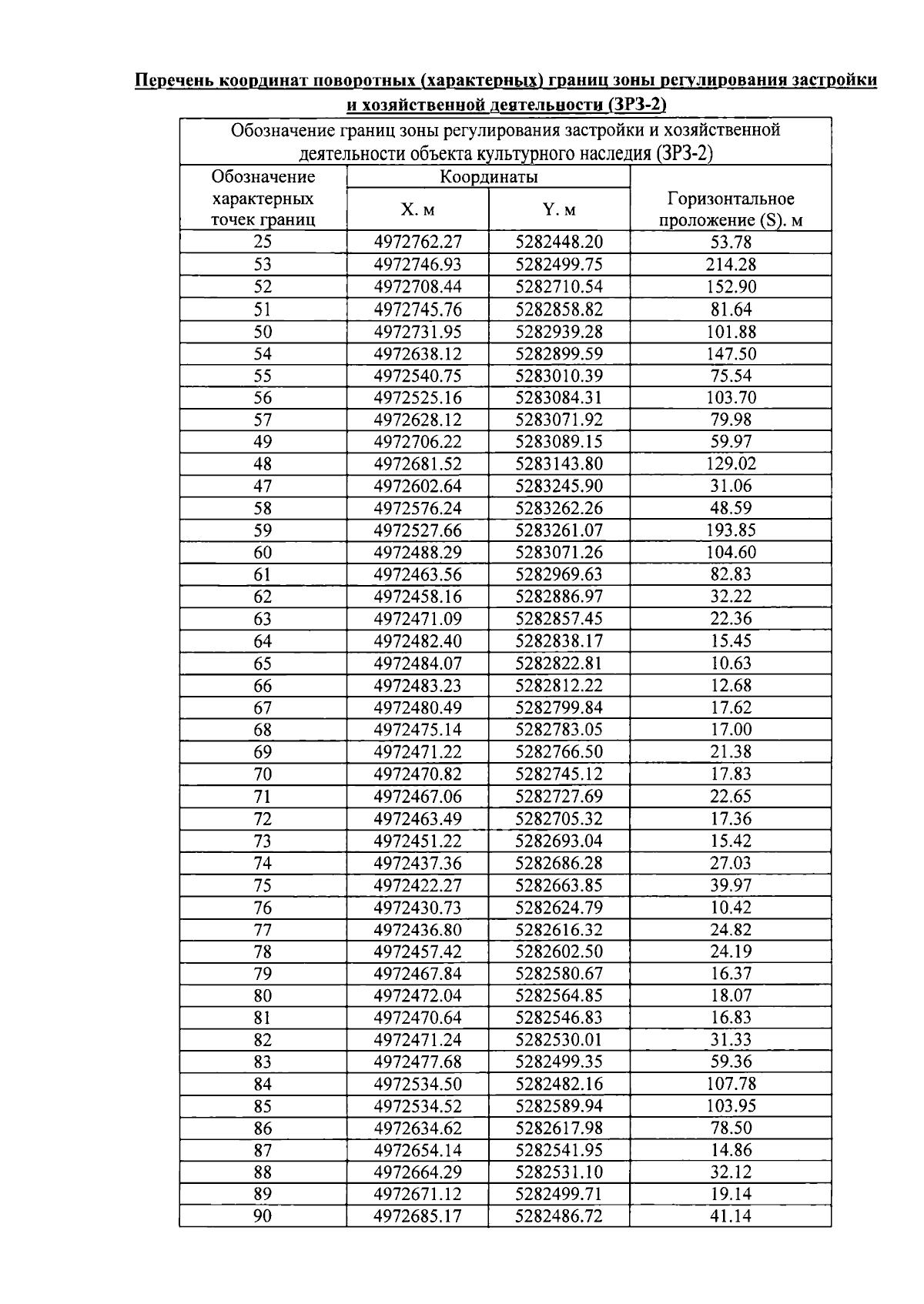
"Об утверждении границ зон охраны, режимов использования земель и требований к градостроительным регламентам в границах зон охраны объекта культурного наследия регионального значения "Могила М.А. Волошина", 1932 год, расположенного по адресу: Республика Крым, городской округ Феодосия, пгт Коктебель, в 2,0 км к северу от поселка, на горе Кучук-Енишар"
(Зарегистрирован 31.07.2024 № 1560)
Номер опубликования: 9101202408020002
Дата опубликования: 02.08.2024
Страница №8 из 22:
Увеличить