Официальное опубликование правовых актов
ОФИЦИАЛЬНОЕ ОПУБЛИКОВАНИЕ
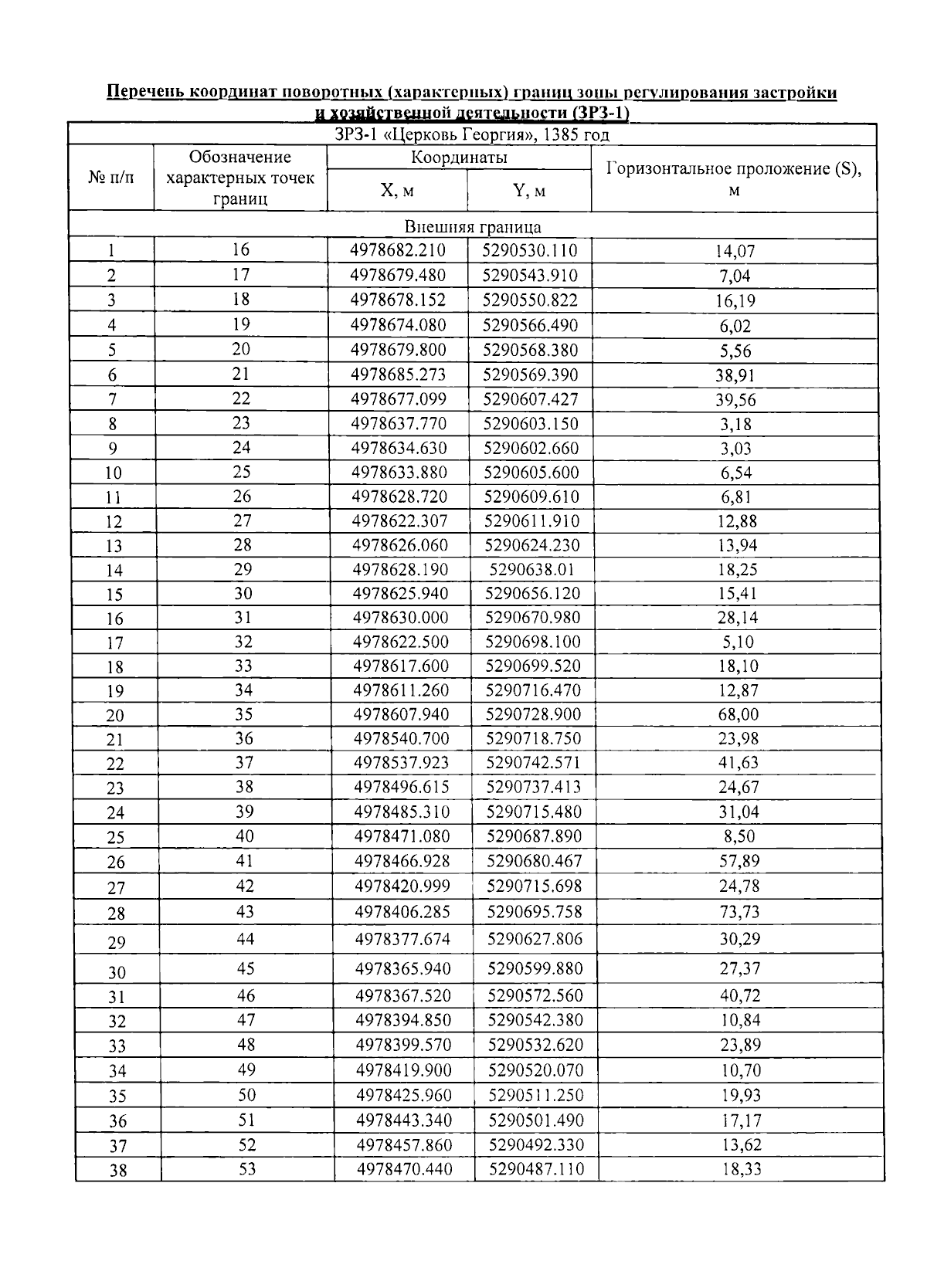
Приказ Министерства культуры Республики Крым от 13.05.2025 № 264-ОКН
"Об утверждении границ зон охраны, режимов использования земель и требований к градостроительным регламентам в границах зон охраны объекта культурного наследия федерального значения "Церковь Георгия", 1385 год, расположенного по адресу: Республика Крым, г. Феодосия, ул. Нахимова, д. 32"
(Зарегистрирован 16.05.2025 № 2415)
Номер опубликования: 9101202505200001
Дата опубликования: 20.05.2025
Страница №6 из 21:
Увеличить