Официальное опубликование правовых актов
ОФИЦИАЛЬНОЕ ОПУБЛИКОВАНИЕ
Приказ Министерства культуры Республики Крым от 04.02.2026 № 130-ОКН
"О включении выявленного объекта культурного наследия "Особняк", конец XIX века – начало XX века, расположенного по адресу: Республика Крым, г. Ялта, ул. Халтурина, 15, корпус 2, в единый государственный реестр объектов культурного наследия (памятников истории и культуры) народов Российской Федерации в качестве объекта культурного наследия регионального значения и утверждении границ территории, режимов использования земель в границах территории объекта культурного наследия регионального значения"
(Зарегистрирован 06.02.2026 № 3258)
Номер опубликования: 9101202602100003
Дата опубликования: 10.02.2026
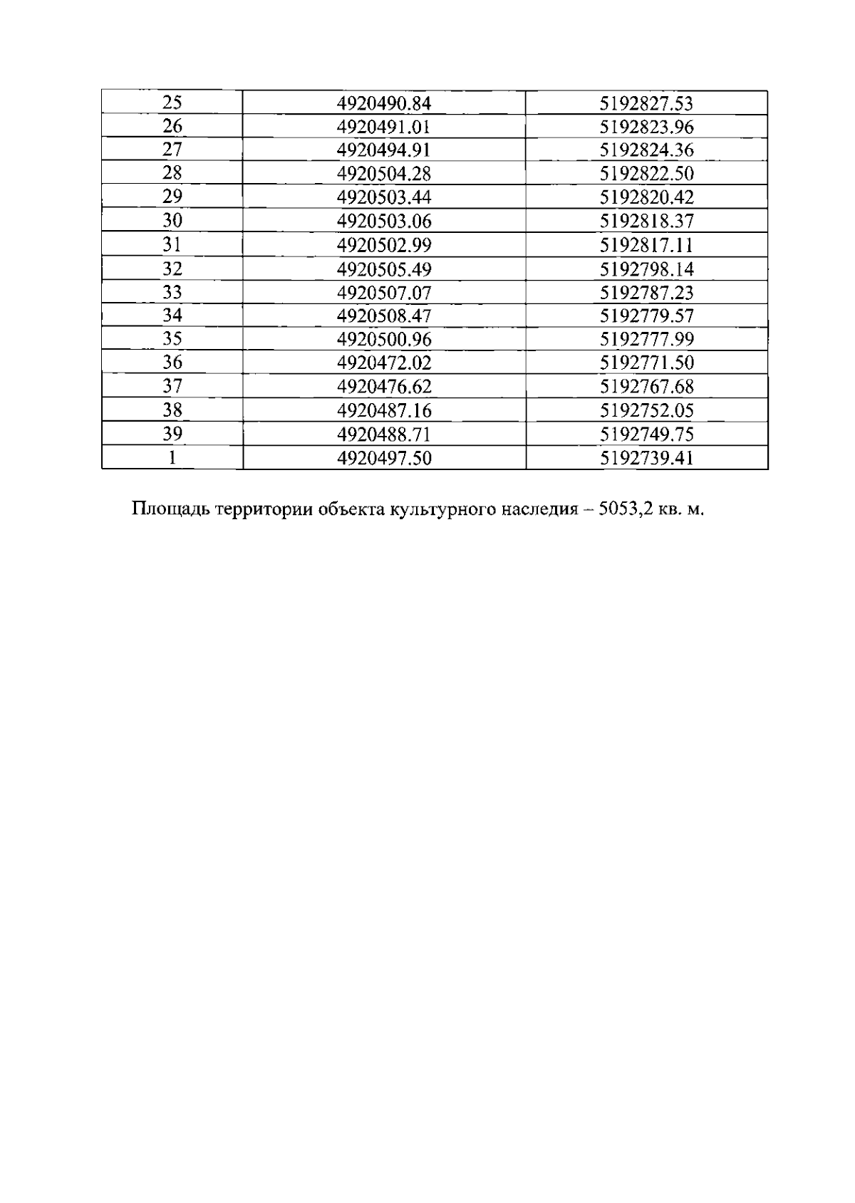
Страница №7 из 10:
Увеличить