Официальное опубликование правовых актов
ОФИЦИАЛЬНОЕ ОПУБЛИКОВАНИЕ
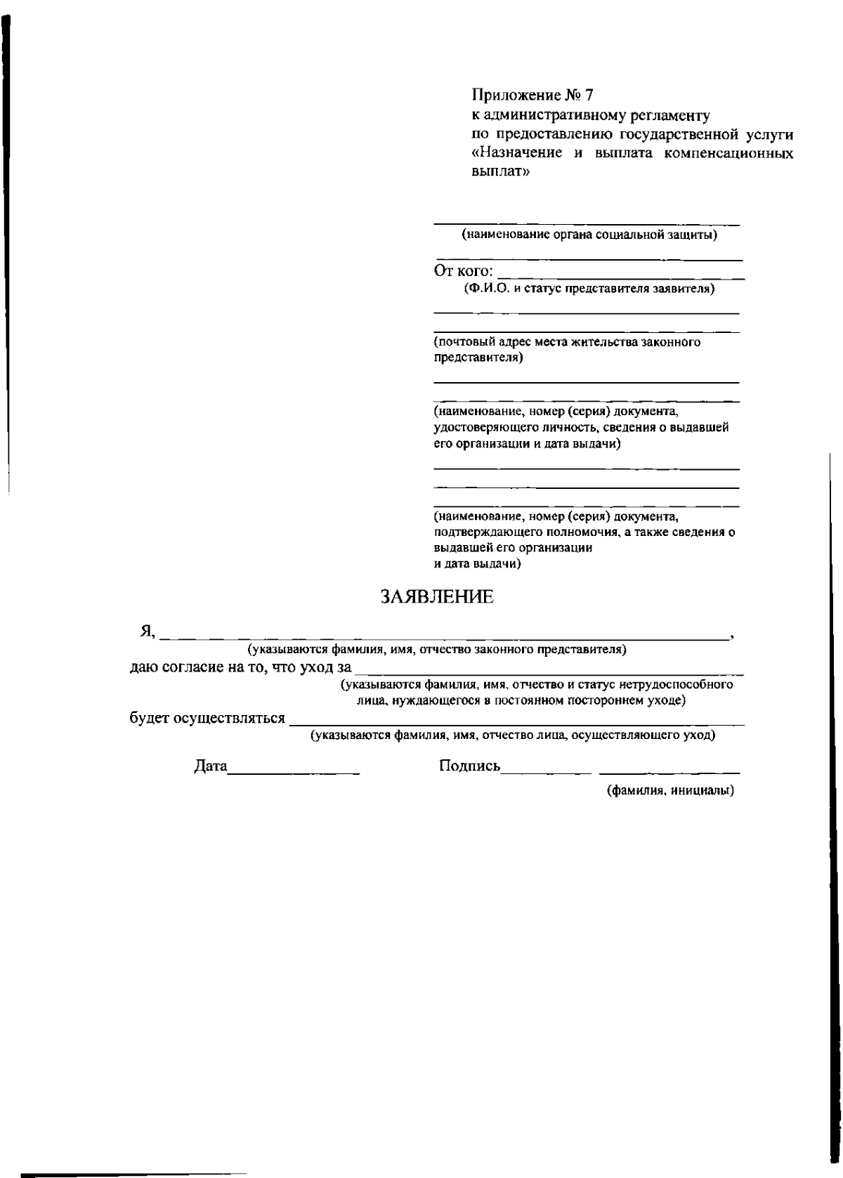
Приказ Министерства труда и социальной защиты Республики Крым от 12.02.2026 № 72
"О внесении изменений в приказ Министерства труда и социальной защиты Республики Крым от 3 мая 2018 года № 238"
(Зарегистрирован 17.02.2026 № 3297)
Номер опубликования: 9101202602200006
Дата опубликования: 20.02.2026
Страница №23 из 29:
Увеличить