Официальное опубликование правовых актов
ОФИЦИАЛЬНОЕ ОПУБЛИКОВАНИЕ
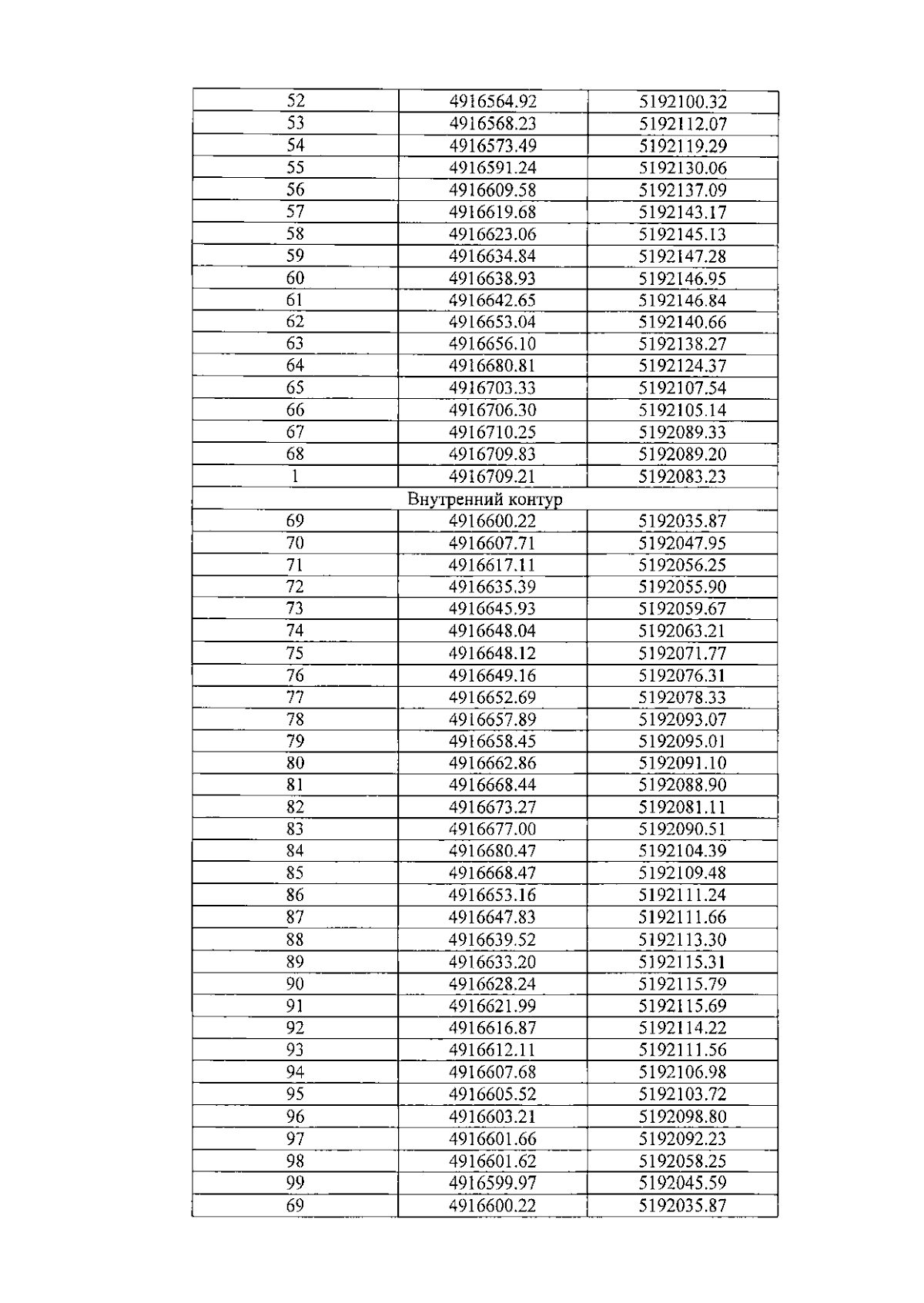
Приказ Министерства культуры Республики Крым от 19.02.2026 № 200-ОКН
"Об утверждении границ зон охраны, режимов использования земель и требований к градостроительным регламентам в границах зон охраны объекта культурного наследия федерального значения "Церковь", конец XIХ века, расположенного по адресу: Республика Крым, городской округ Ялта, пгт Ореанда, д. 12ж, литера "А"
(Зарегистрирован 20.02.2026 № 3307)
Номер опубликования: 9101202602250004
Дата опубликования: 25.02.2026
Страница №8 из 35:
Увеличить