Официальное опубликование правовых актов
ОФИЦИАЛЬНОЕ ОПУБЛИКОВАНИЕ
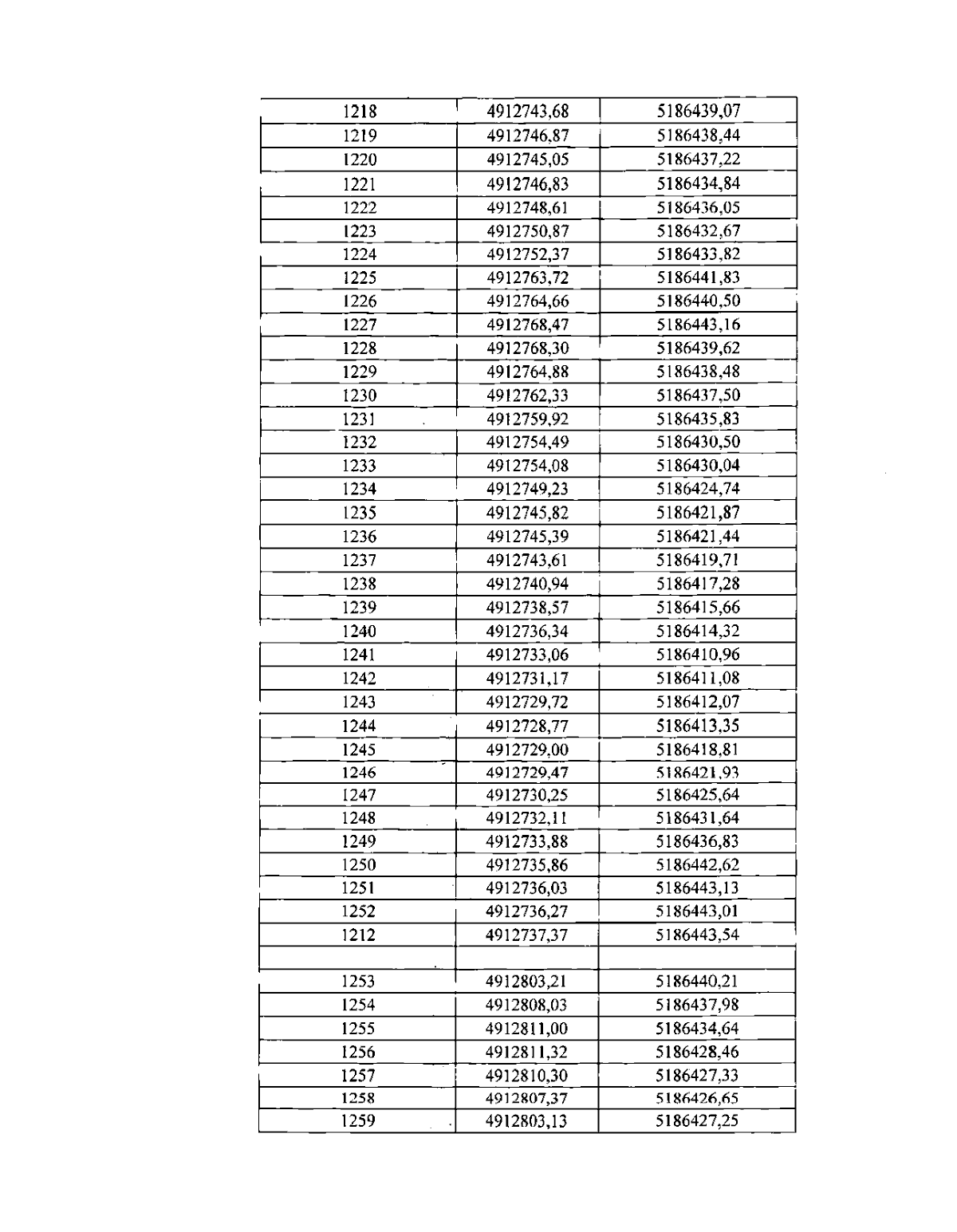
Приказ Министерства экологии и природных ресурсов Республики Крым от 18.02.2026 № 131
"Об утверждении Положения о парке-памятнике садово-паркового искусства регионального значения Республики Крым "Парк санатория "Морской прибой"
(Зарегистрирован 24.02.2026 № 3313)
Номер опубликования: 9101202602260003
Дата опубликования: 26.02.2026
Страница №48 из 86:
Увеличить