Официальное опубликование правовых актов
ОФИЦИАЛЬНОЕ ОПУБЛИКОВАНИЕ
Приказ Министерства культуры Республики Крым от 13.03.2026 № 323-ОКН
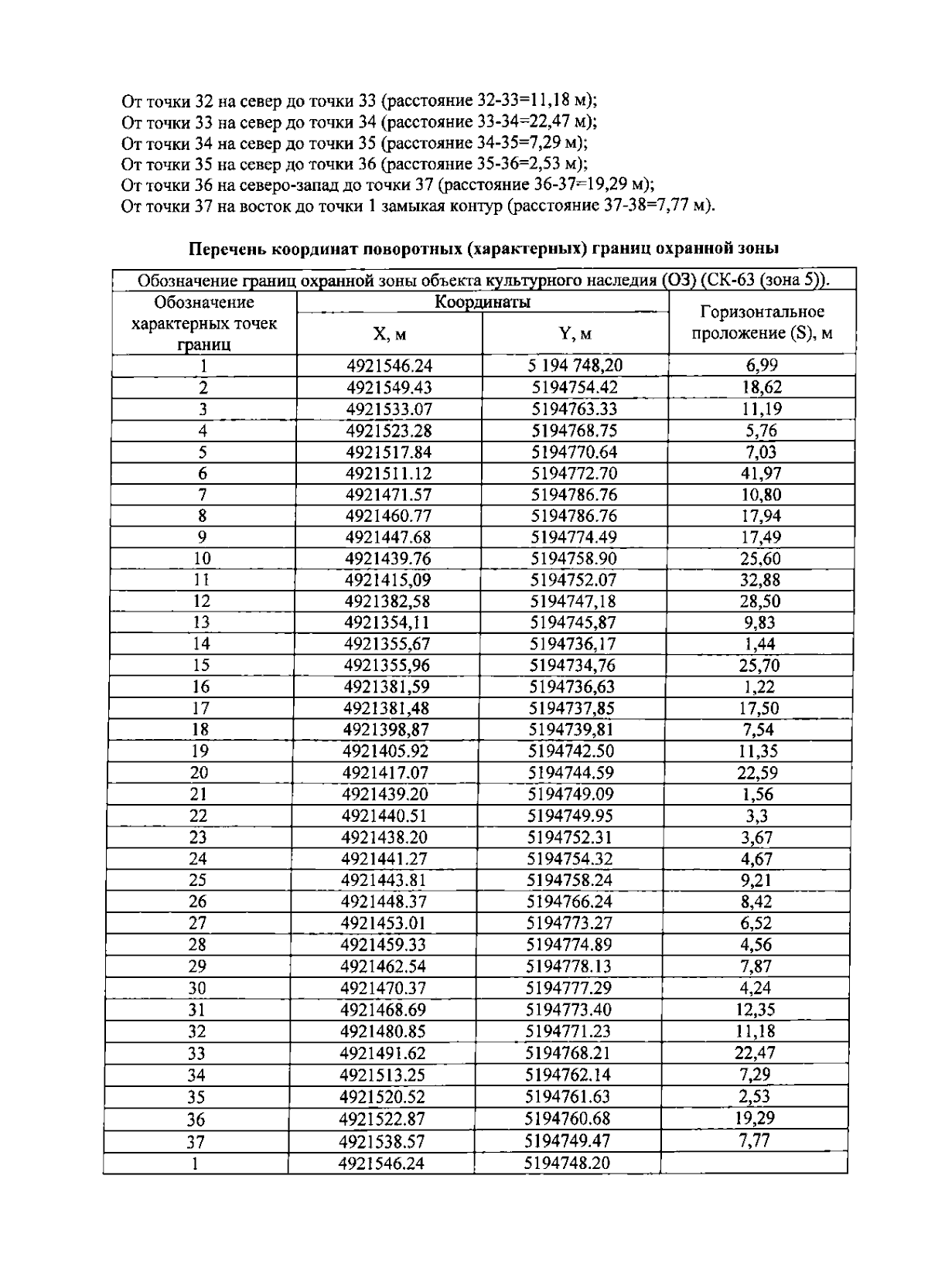
"Об утверждении границ зон охраны, режимов использования земель и требований к градостроительным регламентам в границах зон охраны объекта культурного наследия регионального значения "Дом, в котором в 1886 - 1887 годах жил поэт Я.С. Надсон", конец XIX века, расположенного по адресу: Республика Крым, г. Ялта, ул. Бассейная, 24, литер "А"
(Зарегистрирован 16.03.2026 № 3395)
Номер опубликования: 9101202603190020
Дата опубликования: 19.03.2026
Страница №4 из 9:
Увеличить