Официальное опубликование правовых актов
ОФИЦИАЛЬНОЕ ОПУБЛИКОВАНИЕ
Приказ Министерства культуры Республики Крым от 13.03.2026 № 322-ОКН
"О внесении изменений в приказ Министерства культуры Республики Крым от 24.04.2024 № 181-ОКН "Об утверждении границ зон охраны, режимов использования земель и требований к градостроительным регламентам в границах зон охраны объекта культурного наследия регионального значения "Дворец графов Мордвиновых (архитектор О.Э. Вегенер)", конец XIX века - начало XX века, расположенного по адресу: Республика Крым, г. Ялта, ул. Свердлова, 34-е, литер "А"
(Зарегистрирован 16.03.2026 № 3394)
Номер опубликования: 9101202603190021
Дата опубликования: 19.03.2026
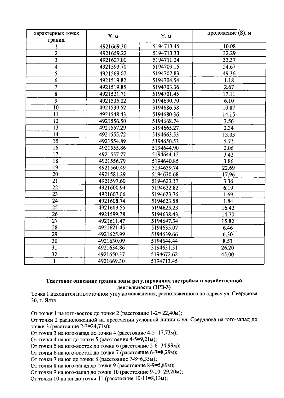
Страница №13 из 30:
Увеличить