Официальное опубликование правовых актов
ОФИЦИАЛЬНОЕ ОПУБЛИКОВАНИЕ
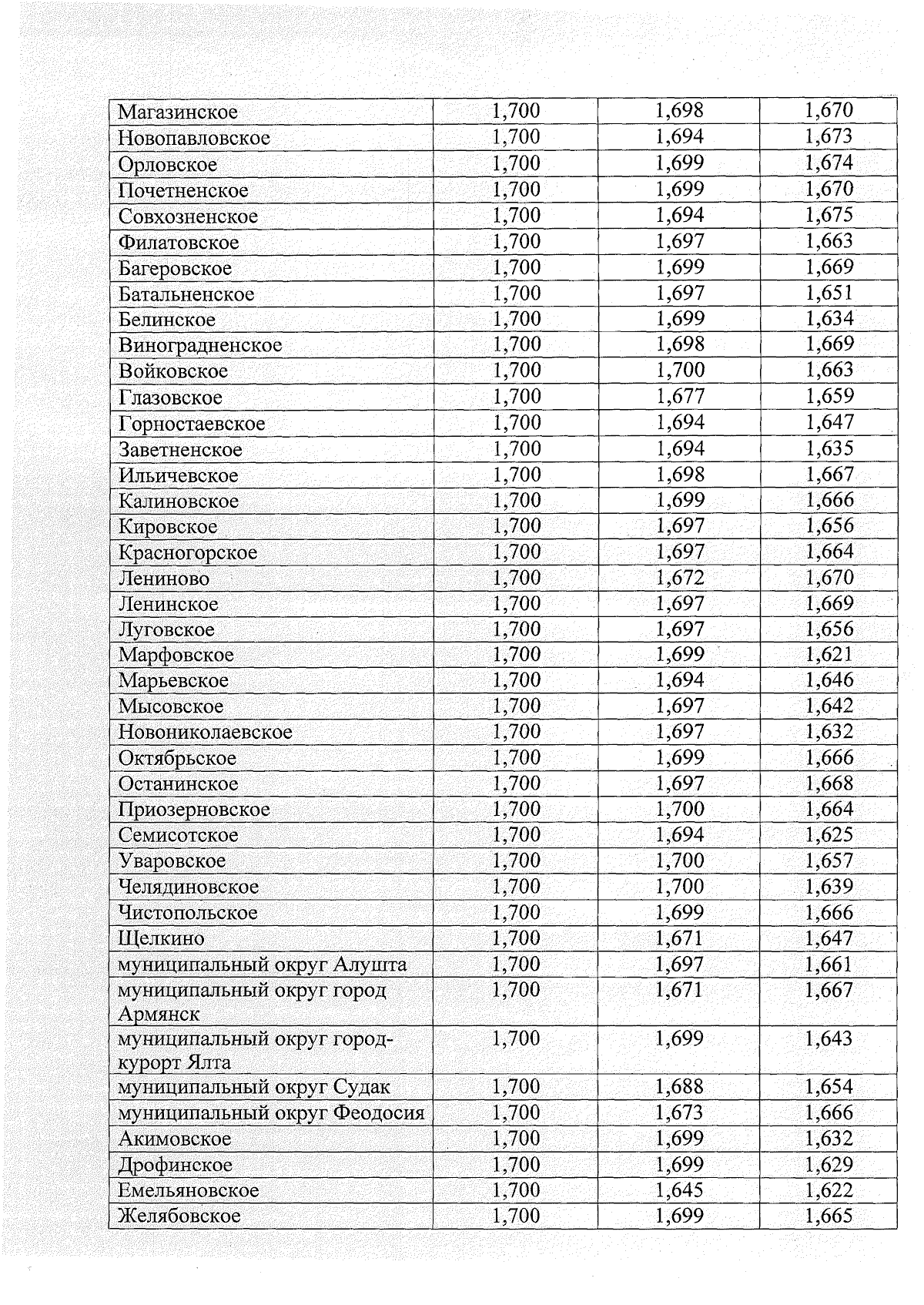
Приказ Государственного комитета по ценам и тарифам Республики Крым от 23.03.2026 № 33-од
"Об утверждении результатов мониторинга соблюдения предельных индексов изменения размера платы граждан за коммунальные услуги на территории Республики Крым за февраль 2026 года"
(Зарегистрирован 25.03.2026 № 3417)
Номер опубликования: 9101202603260005
Дата опубликования: 26.03.2026
Страница №5 из 8:
Увеличить