Официальное опубликование правовых актов
ОФИЦИАЛЬНОЕ ОПУБЛИКОВАНИЕ
Приказ Министерства культуры Республики Крым от 27.03.2026 № 362-ОКН
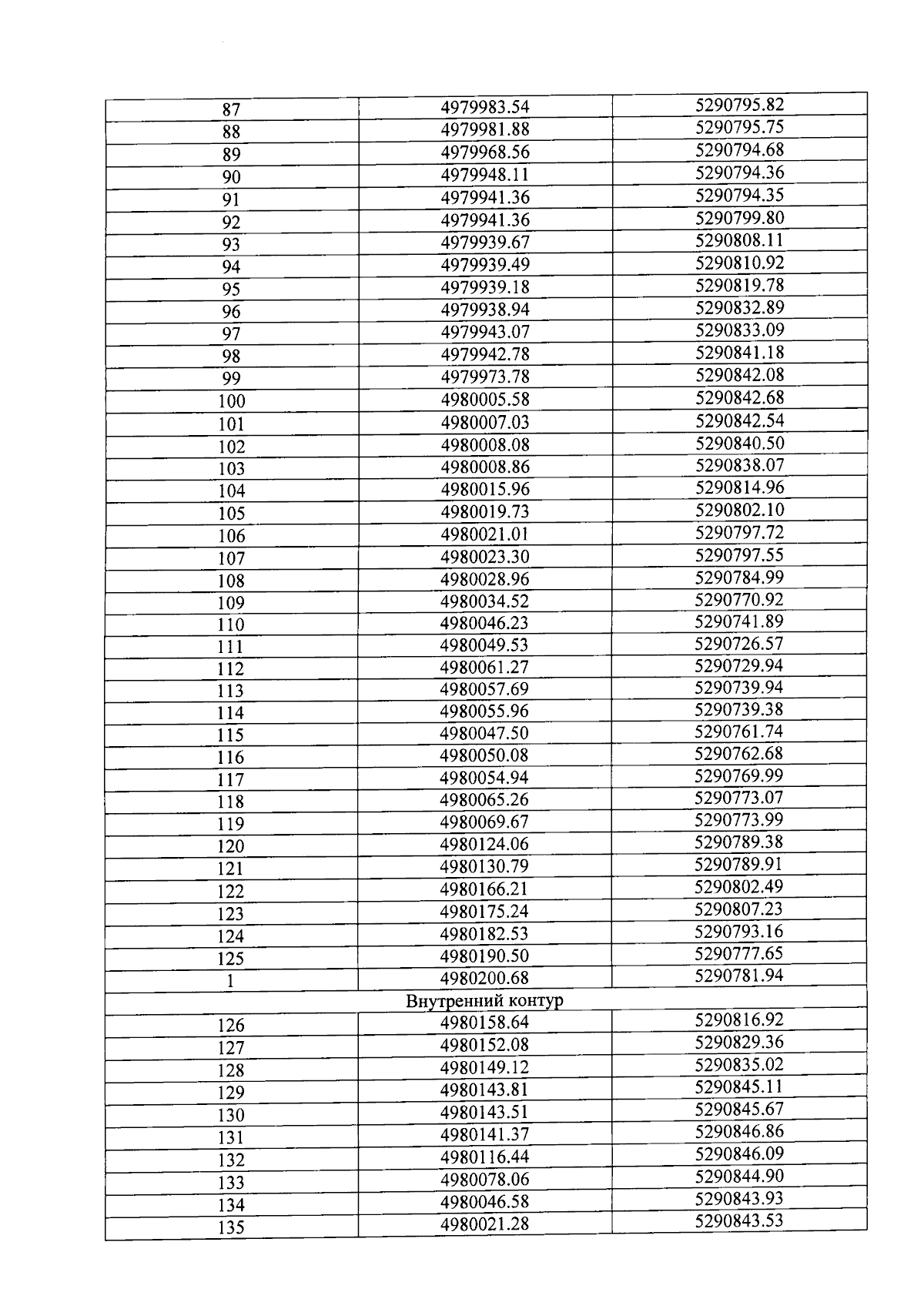
"Об утверждении границ объединенной зоны охраны,режимов использования земель и требований к градостроительным регламентам в границах объединенной зоны охраны объектов культурного наследия: федерального значения "Здание дачи Милос", конец XIX века, расположенного по адресу: Республика Крым, г. Феодосия, просп. Айвазовского, д. 33, ул. Революционная, д. 2, литеры "А", "а", "а1", "а2", "Б", "б"; регионального значения: "Особняк", начало XX века, расположенного по адресу: Республика Крым, г. Феодосия, пр-кт Айвазовского, 23, литеры "А", "а"; "Особняк", начало XX века, расположенного по адресу: Республика Крым, г. Феодосия, пр-кт Айвазовского, 25, литеры "А1", "а1", "а2", "а3", "а4", "а5"; "Дача И.В. Стамболи (архитекторы М.Ф. Пискунов, Б.Б. Юдин)", 1909–1914 годы, 1952 год, расположенного по адресу: Республика Крым, г. Феодосия, пр-кт Айвазовского, 27, литеры "А", "а", "а1"; "Комплекс строений дачи "Виктория" С.С. Крыма (архитектор Н.П. Краснов)", 1914 год, расположенного по адресу: Республика Крым, г. Феодосия, пр-кт Айвазовского, 31; "Главный корпус", 1914 год, расположенного по адресу: Республика Крым, г. Феодосия, пр-кт Айвазовского, 31, литеры "А", "а", "а1"; "Гостевой корпус", 1914 год, расположенного по адресу: Республика Крым, г. Феодосия, пр-кт Айвазовского, 31, литер "Б"; "Ограда с аркой главного входа", 1914 год, расположенного по адресу: Республика Крым, г. Феодосия, пр-кт Айвазовского, 31 (калитка № 2, ограда N 3, ворота № 4); "Подпорные стены и лестницы", 1914 год, расположенного по адресу: Республика Крым, г. Феодосия, пр-кт Айвазовского, 31; "Здание (архитектор Б.Б. Юдин)", 1950-е годы, расположенного по адресу: Республика Крым, г. Феодосия, пр-кт Айвазовского, 31, литер "В"; "Дача "Ташлык" Г.А. Папахристо", начало XX века, расположенного по адресу: Республика Крым, г. Феодосия, пр-кт Айвазовского, 35, литеры "А", "А1", "а", "а1", "а2", "а3", "а4"; "Дача "Флора" Т.А. Абрамова", конец XIX века, расположенного по адресу: Республика Крым, г. Феодосия, пр-кт Айвазовского, 37, литеры "А", "А1", "а"; "Дача "Аида" Н.Б. Ратгауза", конец XIX века, расположенного по адресу: Республика Крым, г. Феодосия, пр-кт Айвазовского, 39, литеры "А", "А1", "а"
(Зарегистрирован 30.03.2026 № 3473)
Номер опубликования: 9101202604010019
Дата опубликования: 01.04.2026
Страница №15 из 44:
Увеличить