Официальное опубликование правовых актов
ОФИЦИАЛЬНОЕ ОПУБЛИКОВАНИЕ
Приказ Министерства культуры Республики Крым от 27.03.2026 № 365-ОКН
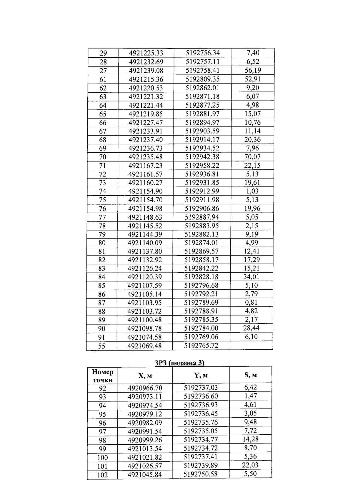
"О внесении изменений в приказ Министерства культуры Республики Крым от 03.03.2022 № 46-ОКН "Об утверждении границ зон охраны, режимов использования земель и требований к градостроительным регламентам в границах зон охраны объекта культурного наследия регионального значения "Особняк, начало XX века", расположенного по адресу: Республика Крым, г. Ялта, ул. Халтурина, 32, корпус №3, литер "В"
(Зарегистрирован 30.03.2026 № 3476)
Номер опубликования: 9101202604010022
Дата опубликования: 01.04.2026
Страница №8 из 15:
Увеличить