Официальное опубликование правовых актов
ОФИЦИАЛЬНОЕ ОПУБЛИКОВАНИЕ
Постановление Правительства Севастополя от 26.12.2018 № 956-ПП
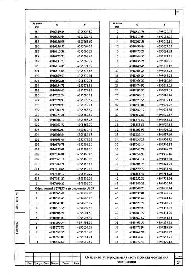
"Об утверждении градостроительной документации по проекту планировки и проекту межевания территории линейного объекта "Водоснабжение сел Резервное и Гончарное (1-я очередь)" в Орлиновском муниципальном округе"
Номер опубликования: 9200201812280049
Дата опубликования: 28.12.2018
Страница №124 из 176:
Увеличить