Официальное опубликование правовых актов
ОФИЦИАЛЬНОЕ ОПУБЛИКОВАНИЕ
Постановление Правительства Севастополя от 28.01.2019 № 15-ПП
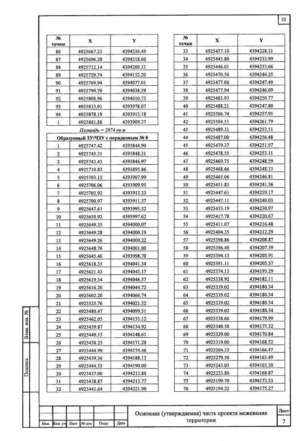
"Об утверждении градостроительной документации по проекту планировки и проекту межевания территории линейного объекта "Газификация с. Черноречье" в Балаклавском муниципальном округе"
Номер опубликования: 9200201902050006
Дата опубликования: 05.02.2019
Страница №54 из 67:
Увеличить