Официальное опубликование правовых актов
ОФИЦИАЛЬНОЕ ОПУБЛИКОВАНИЕ
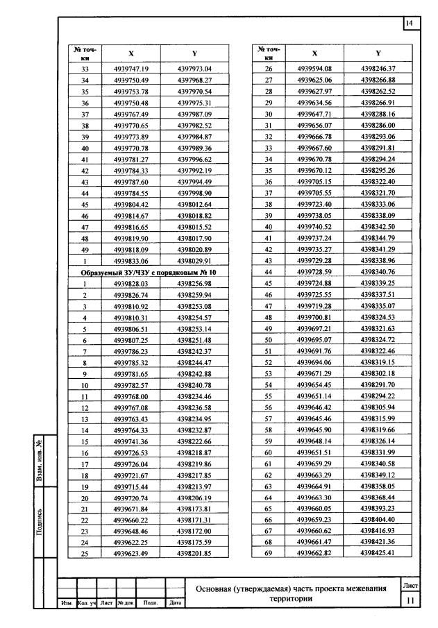
Постановление Правительства Севастополя от 28.01.2019 № 19-ПП
"Об утверждении градостроительной документации по проекту планировки и проекту межевания территории линейного объекта "Газификация с. Фронтовое. Газопровод низкого давления" в Верхнесадовском муниципальном округе"
Номер опубликования: 9200201902050009
Дата опубликования: 05.02.2019
Страница №67 из 82:
Увеличить