Официальное опубликование правовых актов
ОФИЦИАЛЬНОЕ ОПУБЛИКОВАНИЕ
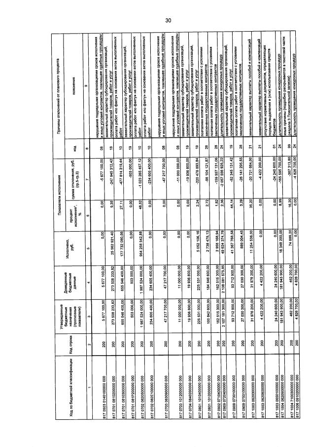
Постановление Правительства Севастополя от 14.11.2019 № 602-ПП
"Об утверждении отчета об исполнении бюджета города Севастополя за 9 месяцев 2019 года и отчета об использовании бюджетных ассигнований резервного фонда Правительства Севастополя за 9 месяцев 2019 года"
Номер опубликования: 9200201911200005
Дата опубликования: 20.11.2019
Страница №483 из 535:
Увеличить