Официальное опубликование правовых актов
ОФИЦИАЛЬНОЕ ОПУБЛИКОВАНИЕ
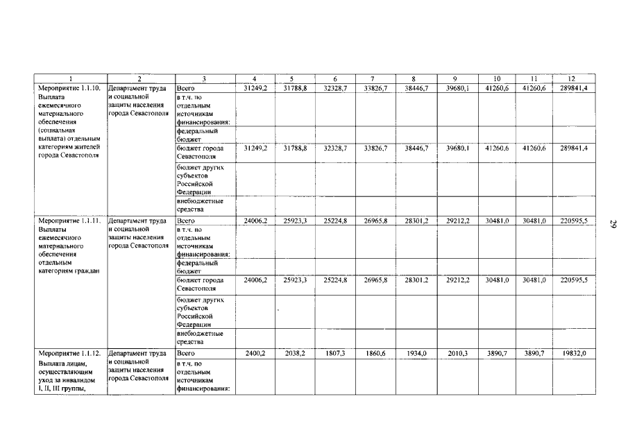
Постановление Правительства Севастополя от 07.08.2020 № 397-ПП
"О внесении изменений в постановление Правительства Севастополя от 03.11.2016 № 1027-ПП "Об утверждении государственной программы города Севастополя "Социальная защита, охрана труда и содействие занятости населения в городе Севастополе"
Номер опубликования: 9200202008140021
Дата опубликования: 14.08.2020
Страница №31 из 144:
Увеличить