Официальное опубликование правовых актов
ОФИЦИАЛЬНОЕ ОПУБЛИКОВАНИЕ
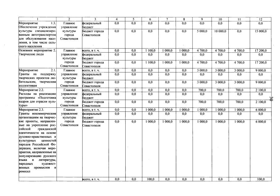
Постановление Правительства Севастополя от 26.08.2020 № 454-ПП
"О внесении изменений в постановление Правительства Севастополя от 07.11.2016 № 1050-ПП "Об утверждении государственной программы города Севастополя "Развитие культуры и туризма города Севастополя"
Номер опубликования: 9200202009020011
Дата опубликования: 02.09.2020
Страница №42 из 69:
Увеличить