Официальное опубликование правовых актов
ОФИЦИАЛЬНОЕ ОПУБЛИКОВАНИЕ
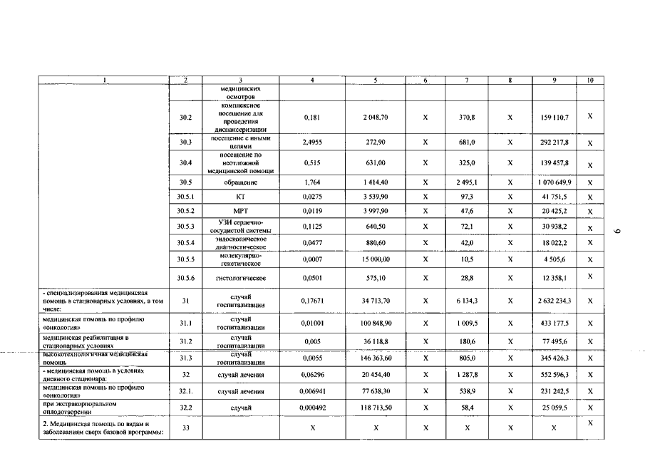
Постановление Правительства Севастополя от 01.10.2020 № 515-ПП
"О внесении изменений в постановление Правительства Севастополя от 27.12.2019 № 715-ПП "Об утверждении Территориальной программы государственных гарантий бесплатного оказания гражданам медицинской помощи в городе Севастополе на 2020 год и на плановый период 2021 и 2022 годов"
Номер опубликования: 9200202010070010
Дата опубликования: 07.10.2020
Страница №10 из 16:
Увеличить