Официальное опубликование правовых актов
ОФИЦИАЛЬНОЕ ОПУБЛИКОВАНИЕ
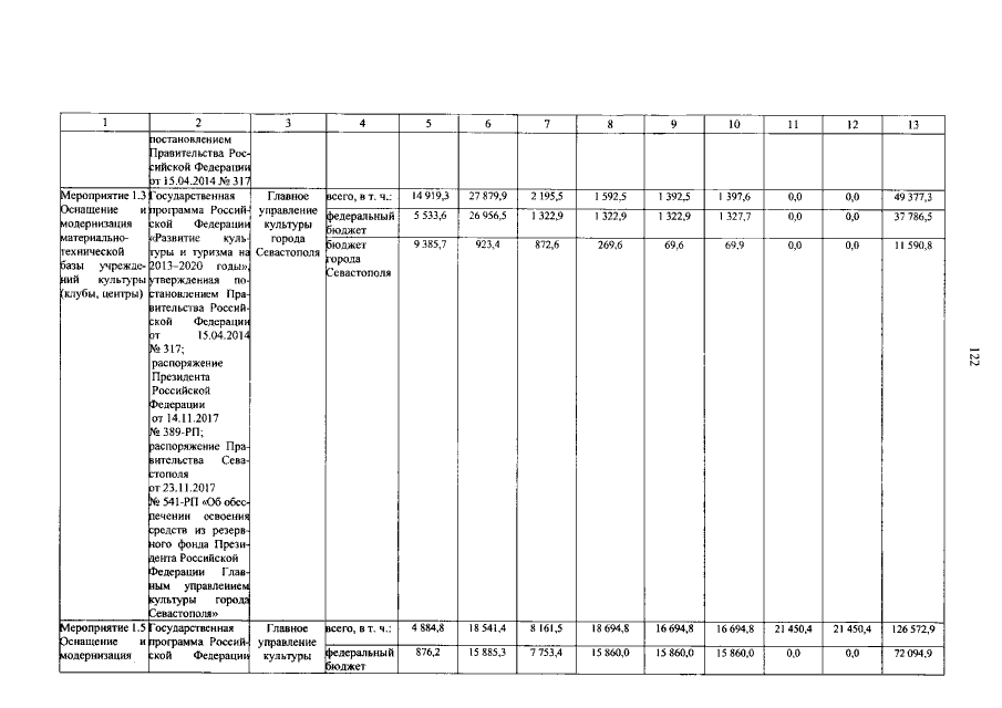
Постановление Правительства Севастополя от 01.12.2020 № 613-ПП
"О внесении изменений в постановление Правительства Севастополя от 07.11.2016 № 1050-ПП "Об утверждении государственной программы города Севастополя "Развитие культуры и туризма города Севастополя"
Номер опубликования: 9200202012070008
Дата опубликования: 07.12.2020
Страница №123 из 142:
Увеличить