Официальное опубликование правовых актов
ОФИЦИАЛЬНОЕ ОПУБЛИКОВАНИЕ
Постановление Правительства Севастополя от 21.07.2022 № 316-ПП
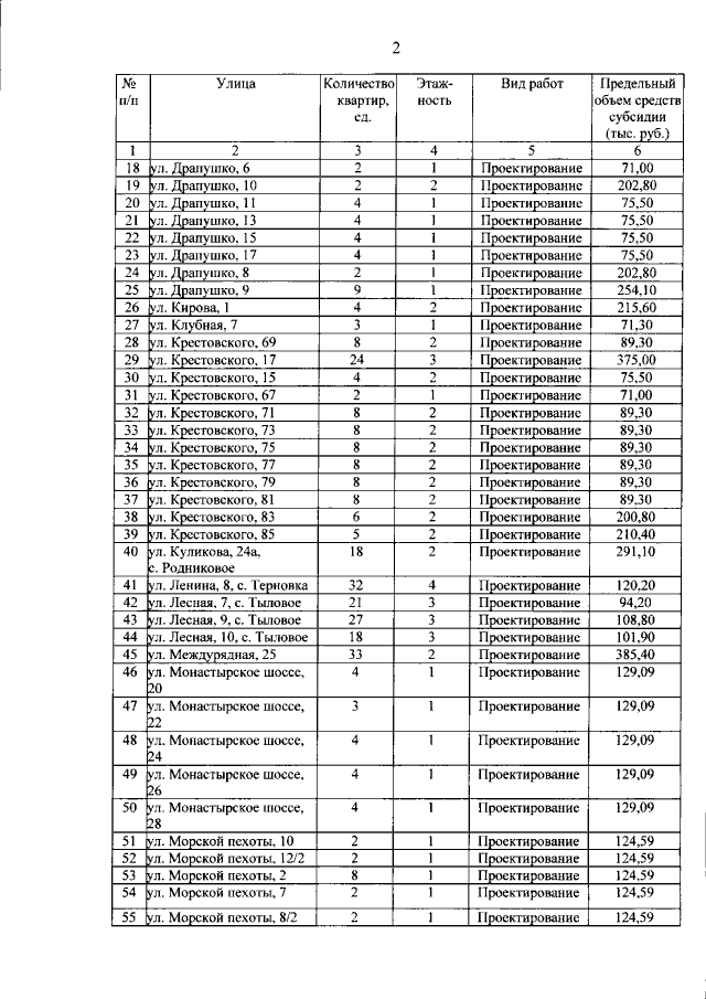
"О внесении изменений в постановление Правительства Севастополя от 01.02.2018 № 57-ПП "Об утверждении Порядка предоставления субсидий юридическим лицам (за исключением субсидий государственным (муниципальным) учреждениям), предоставляющим услуги по содержанию жилых помещений в многоквартирных домах, на финансовое обеспечение затрат по мероприятиям подпрограммы 1 "Улучшение технического состояния и развитие жилищного хозяйства города Севастополя" государственной программы "Развитие жилищно-коммунальной инфраструктуры города Севастополя"
Номер опубликования: 9200202207280007
Дата опубликования: 28.07.2022
Страница №4 из 10:
Увеличить