Официальное опубликование правовых актов
ОФИЦИАЛЬНОЕ ОПУБЛИКОВАНИЕ
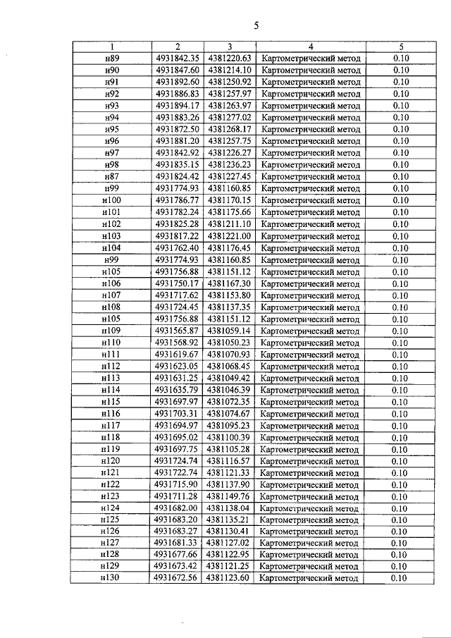
Постановление Правительства Севастополя от 12.10.2022 № 500-ПП
"Об утверждении границ территории объединенной зоны охраны, режимов использования земель и требований к градостроительным регламентам в границах территории объединенной зоны охраны объектов культурного наследия регионального значения: "Жилой дом" (г. Севастополь, ул. Гоголя, д. 3), "Жилой дом" (г. Севастополь, ул. Гоголя, д. 6), "Жилой дом" (г. Севастополь, ул. Гоголя, д. 7), "Жилой дом" (г. Севастополь, ул. Гоголя, д. 8), "Жилой дом" (г. Севастополь, ул. Гоголя, д. 10), "Здание судостроительного техникума" (г. Севастополь, ул. Гоголя, д. 12–14), "Жилой дом" (г. Севастополь, ул. Гоголя, д. 22), "Жилой дом" (г. Севастополь, ул. Гоголя, д. 24), "Жилой дом" (г. Севастополь, ул. Гоголя, д. 27), "Жилой дом" (г. Севастополь, ул. Гоголя, д. 35), "Римско-католический костел" (г. Севастополь, ул. Шмидта, д. 1)"
Номер опубликования: 9200202210200004
Дата опубликования: 20.10.2022
Страница №8 из 33:
Увеличить