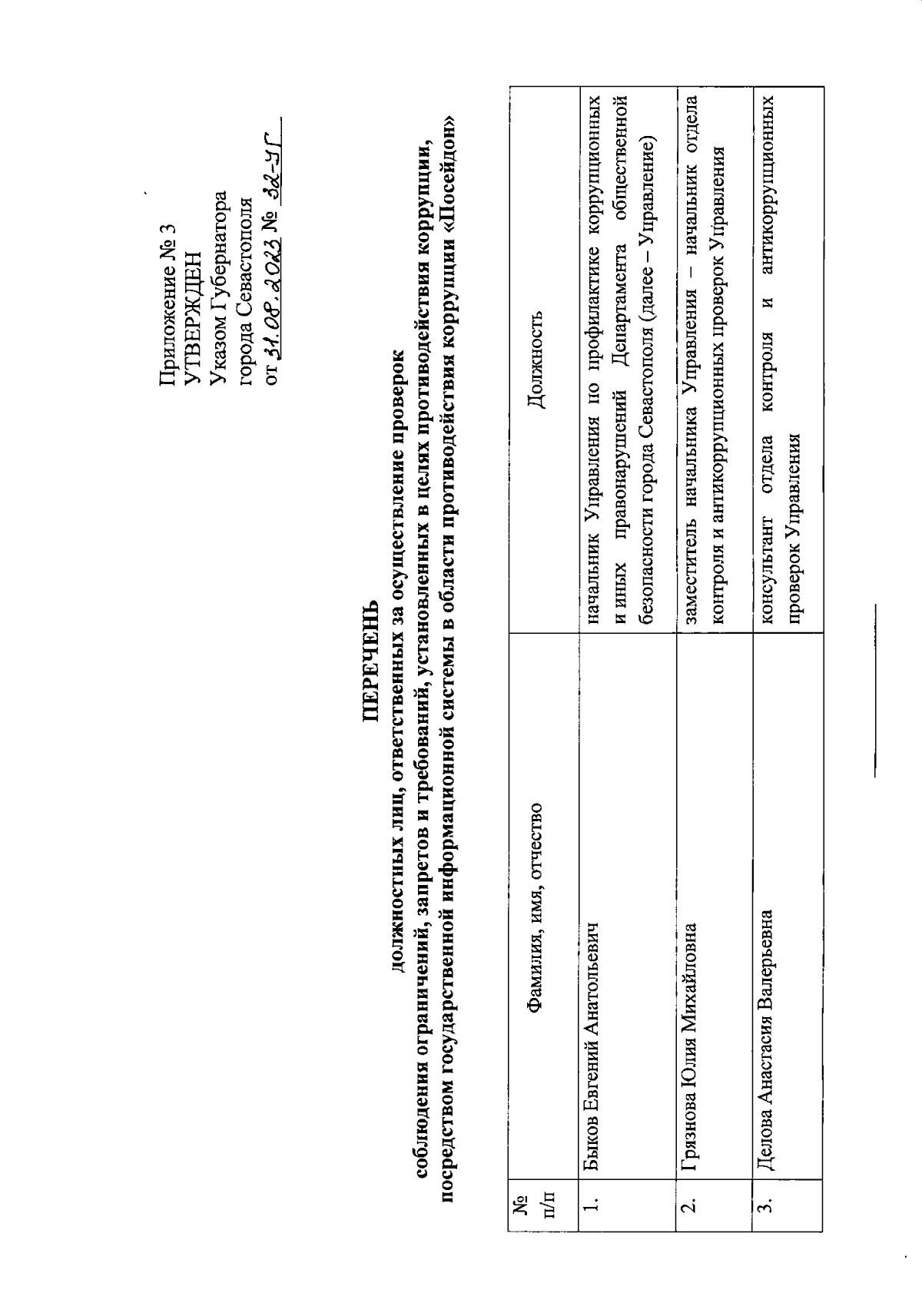
Указ Губернатора города Севастополя от 31.08.2023 № 32-УГ
"Об определении порядка использования государственной информационной системы в области противодействия коррупции "Посейдон" и должностных лиц, уполномоченных на работу с ней"
"Об определении порядка использования государственной информационной системы в области противодействия коррупции "Посейдон" и должностных лиц, уполномоченных на работу с ней"
Номер опубликования: 9200202309070001
Дата опубликования:
07.09.2023
