Официальное опубликование правовых актов
ОФИЦИАЛЬНОЕ ОПУБЛИКОВАНИЕ
Постановление Правительства Севастополя от 14.03.2024 № 77-ПП
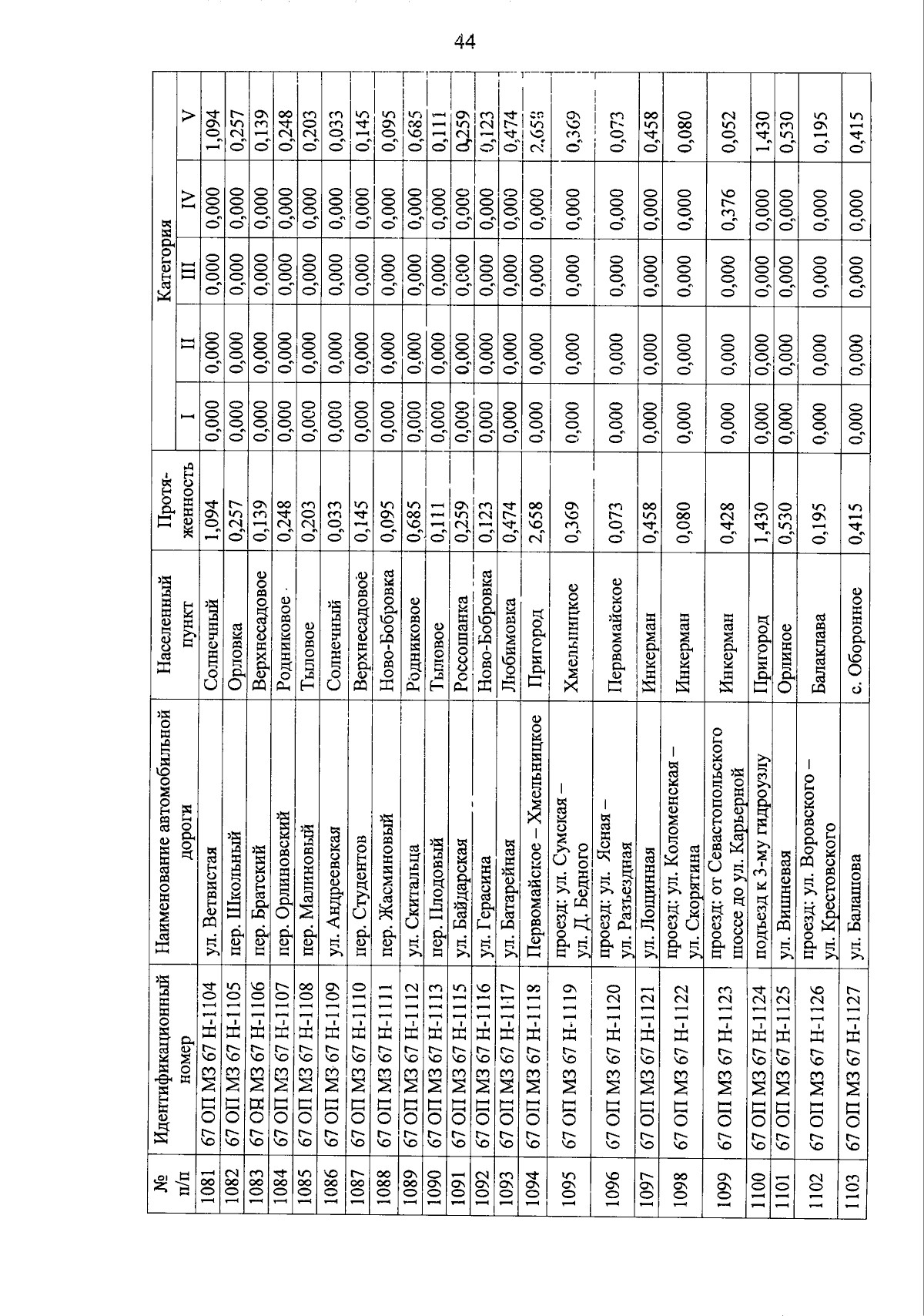
"О внесении изменений в постановление Правительства Севастополя от 30.04.2015 № 347-ПП "Об утверждении критериев отнесения автомобильных дорог общего пользования к автомобильным дорогам общего пользования регионального или межмуниципального значения и перечня автомобильных дорог общего пользования регионального или межмуниципального значения, находящихся в государственной собственности города Севастополя"
Номер опубликования: 9200202403220010
Дата опубликования: 22.03.2024
Страница №46 из 65:
Увеличить