Официальное опубликование правовых актов
ОФИЦИАЛЬНОЕ ОПУБЛИКОВАНИЕ
Постановление Правительства Севастополя от 23.09.2024 № 438-ПП
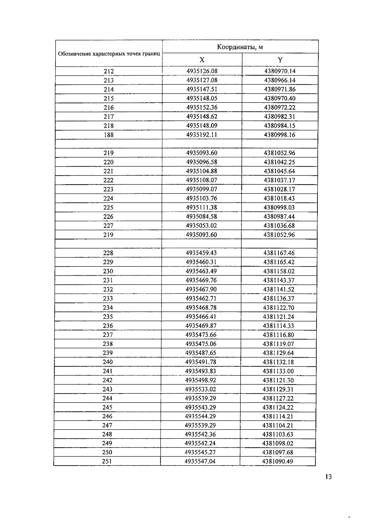
"Об утверждении документации по планировке территории "Проект планировки и проект межевания территории товарищества собственников недвижимости "Садоводческое товарищество "Вымпел"
Номер опубликования: 9200202409270008
Дата опубликования: 27.09.2024
Страница №15 из 62:
Увеличить