Официальное опубликование правовых актов
ОФИЦИАЛЬНОЕ ОПУБЛИКОВАНИЕ
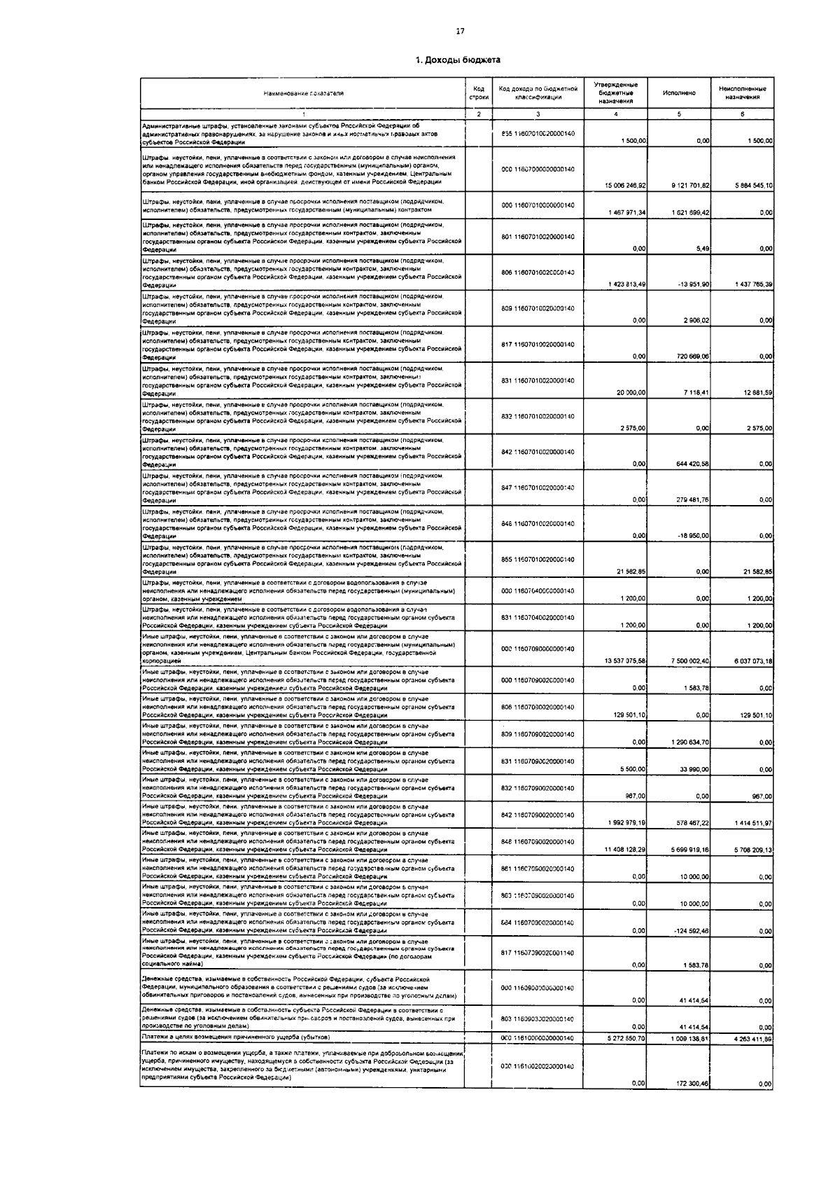
Постановление Правительства Севастополя от 05.06.2025 № 238-ПП
"Об утверждении отчета об исполнении бюджета города Севастополя за I квартал 2025 г. и отчета об использовании бюджетных ассигнований резервного фонда Правительства Севастополя за I квартал 2025 г."
Номер опубликования: 9200202506110014
Дата опубликования: 11.06.2025
Страница №18 из 102:
Увеличить