Официальное опубликование правовых актов
ОФИЦИАЛЬНОЕ ОПУБЛИКОВАНИЕ
Постановление Правительства Севастополя от 10.07.2025 № 307-ПП
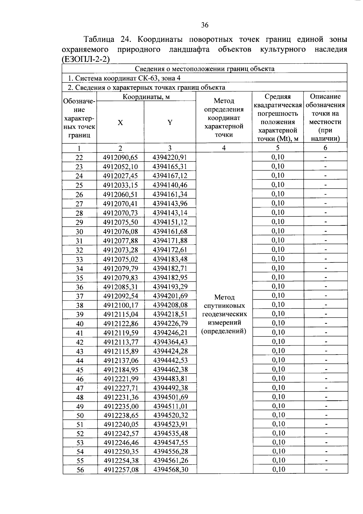
"Об утверждении границ объединенной зоны охраны, особых режимов использования земель и требований к градостроительным регламентам в границах территории объединенной зоны охраны объектов культурного наследия регионального значения: "Дача В.Л. Кравцова", 1912–1914 гг. (г. Севастополь, Батилиман, детский лагерь "Чайка"), "Дача П.Н. Милюкова", 1912–1914 гг. (г. Севастополь, Батилиман, на повороте шоссе), "Дача В.Г. Короленко", 1912–1914 гг. (г. Севастополь, Батилиман, детский лагерь "Чайка"), "Здание бывшей конторы и гостиницы товарищества "Батилиман", 1912–1914 гг. (г. Севастополь, Батилиман, детский лагерь "Чайка")"
Номер опубликования: 9200202507180019
Дата опубликования: 18.07.2025
Страница №39 из 54:
Увеличить