Официальное опубликование правовых актов
ОФИЦИАЛЬНОЕ ОПУБЛИКОВАНИЕ
Постановление Правительства Севастополя от 25.09.2025 № 446-ПП
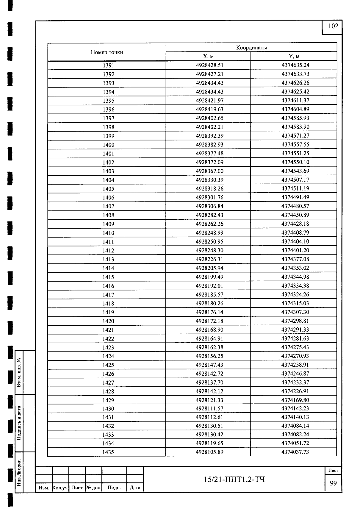
"О внесении изменений в постановление Правительства Севастополя от 10.09.2018 № 583-ПП "Об утверждении проекта планировки и проекта межевания территории линейного объекта "Строительство и реконструкция региональной автомобильной дороги "Севастополь – порт Камышовая бухта – бухта Казачья, км 0+000-3+500"
Номер опубликования: 9200202510010012
Дата опубликования: 01.10.2025
Страница №177 из 749:
Увеличить