Официальное опубликование правовых актов
ОФИЦИАЛЬНОЕ ОПУБЛИКОВАНИЕ
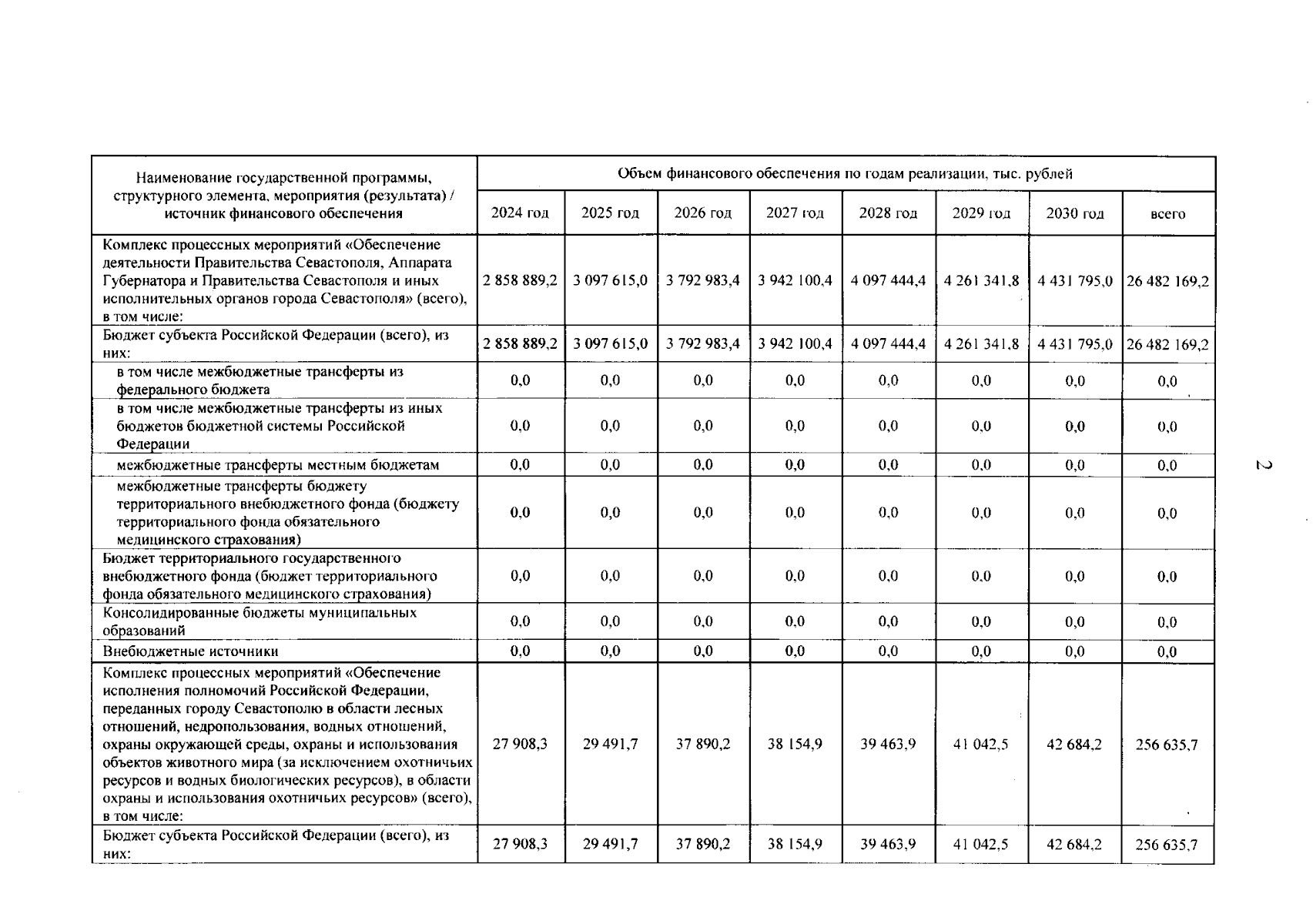
Постановление Правительства Севастополя от 25.12.2025 № 668-ПП
"О внесении изменений в постановление Правительства Севастополя от 28.02.2022 № 55-ПП "Об утверждении государственной программы города Севастополя "Развитие государственного управления города Севастополя"
Номер опубликования: 9200202601010003
Дата опубликования: 01.01.2026
Страница №3 из 17:
Увеличить